Entry
Reader's guide
Entries A-Z
Subject index
Latent Markov Model
The latent Markov model (LMM) can either be seen as an extension of the latent class model for the analysis of longitudinal data or as an extension of the discrete time Markov chain model for dealing with measurement error in the observed variable of interest. It was introduced in 1955 by Wiggins and also referred to as latent transition or the hidden Markov model. The LMM can be used to separate true systematic change from spurious change resulting from measurement error and other types of randomness in the behavior of individuals.
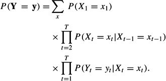
Suppose a single categorical variable of interest is measured at T occasions, and Yt denotes the response at occasion t,1 ≤ t ≤ T. This could, for example, be a respondent’s party preference measured at 6-month intervals. Let D denote the number of levels of each Yt, and let yt denote a particular level, 1 ≤ yt ≤ D. Let Xt denote an occasion-specific latent variable, C a number of categories of Xt, and xt a particular LC class at occasion t,1 ≤ xt ≤ C. The corresponding LMM has the form

The two basic assumptions of this model are that the transition structure for the latent variables has the form of a first-order Markov chain and that each occasion-specific observed variable depends only on the corresponding latent variable. For identification and simplicity of the results, it is typically assumed that the error component is time homogeneous:

for 2 ≤ t ≤ T. If no further constraints are imposed, one needs at least three time points to identify the LMM. Typical constraints on the latent transition probabilities are time homogeneity and zero restrictions.
The enormous effect of measurement error in the study of change can be illustrated with a hypothetical example with T = 3 and C = D = 2. To illustrate this, suppose P(X1 = 1) = .80, P(Xt = 2|Xt−1 = 1) = P(Xt = 2|Xt−1 = 1) = .10, and P(Yt = 1|Xt = 1) = P(Yt = 2|Xt = 2) = .20. If we estimate a stationary manifest first-order Markov model for the hypothetical table, we find .68 in the first state at the first time point and transition probabilities of .29 and .48 out of the two states. These are typical biases encountered when not taking measurement error into account: The size of the smaller group is overestimated, the amount of change is overestimated, and there seems to be more change in the small than in the large group.
It is straight forward to extend the above single indicator LMM to multiple indicators. Another natural extension is the introduction of covariates or grouping variables explaining individual differences in the initial state and the transition probabilities. The independent classification error (ICE) assumption can be relaxed by including direct effects between indicators at different occasions. Furthermore, mixed variants of the LMM have been proposed, such as models with MOVER-STAYER structures. In social sciences, the LMM is conceived as a tool for categorical data analysis. However, as in standard LATENT CLASS ANALYSIS, these models can be extended easily to other scale types.
...
- Analysis of Variance
- Association and Correlation
- Association
- Association Model
- Asymmetric Measures
- Biserial Correlation
- Canonical Correlation Analysis
- Correlation
- Correspondence Analysis
- Intraclass Correlation
- Multiple Correlation
- Part Correlation
- Partial Correlation
- Pearson's Correlation Coefficient
- Semipartial Correlation
- Simple Correlation (Regression)
- Spearman Correlation Coefficient
- Strength of Association
- Symmetric Measures
- Basic Qualitative Research
- Basic Statistics
- F Ratio
- N(n)
- t-Test
- X¯
- Y Variable
- z-Test
- Alternative Hypothesis
- Average
- Bar Graph
- Bell-Shaped Curve
- Bimodal
- Case
- Causal Modeling
- Cell
- Covariance
- Cumulative Frequency Polygon
- Data
- Dependent Variable
- Dispersion
- Exploratory Data Analysis
- Frequency Distribution
- Histogram
- Hypothesis
- Independent Variable
- Measures of Central Tendency
- Median
- Null Hypothesis
- Pie Chart
- Regression
- Standard Deviation
- Statistic
- Causal Modeling
- Discourse/Conversation Analysis
- Econometrics
- Epistemology
- Ethnography
- Evaluation
- Event History Analysis
- Experimental Design
- Factor Analysis and Related Techniques
- Feminist Methodology
- Generalized Linear Models
- Historical/Comparative
- Interviewing in Qualitative Research
- Latent Variable Model
- Life History/Biography
- Log-Linear Models (Categorical Dependent Variables)
- Longitudinal Analysis
- Mathematics and Formal Models
- Measurement Level
- Measurement Testing and Classification
- Multilevel Analysis
- Multiple Regression
- Qualitative Data Analysis
- Sampling in Qualitative Research
- Sampling in Surveys
- Scaling
- Significance Testing
- Simple Regression
- Survey Design
- Time Series
- ARIMA
- Box-Jenkins Modeling
- Cointegration
- Detrending
- Durbin-Watson Statistic
- Error Correction Models
- Forecasting
- Granger Causality
- Interrupted Time-Series Design
- Intervention Analysis
- Lag Structure
- Moving Average
- Periodicity
- Serial Correlation
- Spectral Analysis
- Time-Series Cross-Section (TSCS) Models
- Time-Series Data (Analysis/Design)
- Trend Analysis
- Loading...
Get a 30 day FREE TRIAL
-
Watch videos from a variety of sources bringing classroom topics to life
-
Read modern, diverse business cases
-
Explore hundreds of books and reference titles
Sage Recommends
We found other relevant content for you on other Sage platforms.
Have you created a personal profile? Login or create a profile so that you can save clips, playlists and searches