Entry
Reader's guide
Entries A-Z
Subject index
Latent Budget Analysis
A budget, denoted by p, is a vector with nonnegative components that add up to a fixed constant c. An example of a budget is the distribution of a day’s time over J mutually exclusive and exhaustive activities, such as sleep, work, housekeeping, and so forth. Another example of a budget is the distribution of a $20,000 grant over J cultural projects. Note that components of the time budget add up to 24 hours or 1,440 minutes, and the components of the financial budget add up to 20,000. Without loss of generality, the components of a budget can be divided by the fixed constant c such that they add up to 1. The time budgets of I (groups of) respondents (i.e., p1,…, pI) or the financial budgets of I $20,000 grants can be collected in an I × J data matrix. Such data are called compositional data. The idea of latent budget analysis is to write the I budget as a mixture of a small number, K(K < I), of latent budgets, denoted by β1,…,βk.
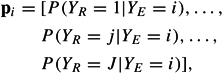
Let YE be an explanatory variable (e.g., nationality, socioeconomic status, point of time) or an indicator variable with I categories, indexed by i. Let YR be a response variable with J categories, indexed by j, and let X be a latent variable with K categories, indexed by K. The budgets can be written as

for i = 1, …,I, and latent budgets can be written as

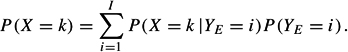
for k = 1, …,k. Let P(X = k|YE = i) denote a weight that indicates the proportion of budget pi that is determined by latent budget βk. In latent budget analysis, the budgets pi(i = 1, …,i) are estimated by expected budgets πi such that

The compositional data may be interpreted using latent budgets β1,…,βK in the following procedure:
First, latent budgets β1,…,βK are interpreted and entitled. Comparing the components of the budgets to the components of the independence budget [P(YR = 1),…,P(YR = j)] can help to characterize the latent budgets. For example, if P(YR = j|X = k)>P(YR = j), then βk, is characterized more than average by component j. Second, the budgets π1,…,πI are interpreted on the basis of the entitled latent budgets by comparing weights

For example, if P(X = k|YE = i)>P(X = k), then budget πi is characterized more than average by latent budget βK.
The idea of latent budget analysis was proposed by Goodman (1974), who called it asymmetric latent class analysis; independently, the idea was also proposed by de Leeuw and van der Heijden (1988), who named it latent budget analysis. Issues with respect to latent budget analysis are discussed in van der Ark and van der Heijden (1998; graphical representation); van der Ark, van der Heijden, and Sikkel (1999; model identification); van der Heijden, Mooijaart, and de Leeuw (1992; constrained latent budget analysis); and van der Heijden, van der Ark, & Mooijaart (2002; applications).
References
...
- Analysis of Variance
- Association and Correlation
- Association
- Association Model
- Asymmetric Measures
- Biserial Correlation
- Canonical Correlation Analysis
- Correlation
- Correspondence Analysis
- Intraclass Correlation
- Multiple Correlation
- Part Correlation
- Partial Correlation
- Pearson's Correlation Coefficient
- Semipartial Correlation
- Simple Correlation (Regression)
- Spearman Correlation Coefficient
- Strength of Association
- Symmetric Measures
- Basic Qualitative Research
- Basic Statistics
- F Ratio
- N(n)
- t-Test
- X¯
- Y Variable
- z-Test
- Alternative Hypothesis
- Average
- Bar Graph
- Bell-Shaped Curve
- Bimodal
- Case
- Causal Modeling
- Cell
- Covariance
- Cumulative Frequency Polygon
- Data
- Dependent Variable
- Dispersion
- Exploratory Data Analysis
- Frequency Distribution
- Histogram
- Hypothesis
- Independent Variable
- Measures of Central Tendency
- Median
- Null Hypothesis
- Pie Chart
- Regression
- Standard Deviation
- Statistic
- Causal Modeling
- Discourse/Conversation Analysis
- Econometrics
- Epistemology
- Ethnography
- Evaluation
- Event History Analysis
- Experimental Design
- Factor Analysis and Related Techniques
- Feminist Methodology
- Generalized Linear Models
- Historical/Comparative
- Interviewing in Qualitative Research
- Latent Variable Model
- Life History/Biography
- Log-Linear Models (Categorical Dependent Variables)
- Longitudinal Analysis
- Mathematics and Formal Models
- Measurement Level
- Measurement Testing and Classification
- Multilevel Analysis
- Multiple Regression
- Qualitative Data Analysis
- Sampling in Qualitative Research
- Sampling in Surveys
- Scaling
- Significance Testing
- Simple Regression
- Survey Design
- Time Series
- ARIMA
- Box-Jenkins Modeling
- Cointegration
- Detrending
- Durbin-Watson Statistic
- Error Correction Models
- Forecasting
- Granger Causality
- Interrupted Time-Series Design
- Intervention Analysis
- Lag Structure
- Moving Average
- Periodicity
- Serial Correlation
- Spectral Analysis
- Time-Series Cross-Section (TSCS) Models
- Time-Series Data (Analysis/Design)
- Trend Analysis
- Loading...
Get a 30 day FREE TRIAL
-
Watch videos from a variety of sources bringing classroom topics to life
-
Read modern, diverse business cases
-
Explore hundreds of books and reference titles
Sage Recommends
We found other relevant content for you on other Sage platforms.
Have you created a personal profile? Login or create a profile so that you can save clips, playlists and searches