Entry
Reader's guide
Entries A-Z
Subject index
Structural Equation Modeling
Structural equation modeling (SEM) is a very general statistical approach for modeling and estimating data. It is seen as a combination of factor analysis and regression or path analysis. These procedures are regarded as special cases of SEM. It contains, in addition, classical multivariate techniques such as analysis of variance, analysis of covariance, dummy regression, and canonical correlation as special cases. A structural equation model contains latent variables that should correspond to theoretical constructs from substantive theory and their reflective indicators or items that form the measurement model. The relationships between the latent variables (constructs and factors) and their indicators (observed variables) are quantified by the corresponding factor loadings. The regression coefficients between the latent variables (structural relations) take random and nonrandom measurement error into account and are, therefore, not biased. This part of the model is called “structural model” and represents the underlying theory. This entry presents some of the basic features of SEM using an example from the European Social Survey (ESS).
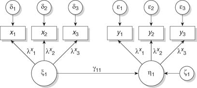
SEM models can be visualized by a graphical path diagram, which represents the relationships between the latent variables (structural model) and the relationships between latent and observed variables (measurement model). The latent variables are symbolized by circles, the observed variables by rectangles, and the postulated direction of influences by directed arrows (see Figure 1). The path diagram can be translated into a set of linear or matrix equations. Figure 1 displays a diagram that graphically represents a structural equation model with the measurement and the structural part. It contains one exogenous (independent) construct and one endogenous (dependent) construct. Each construct in Figure 1 is measured by three indicators to control for all forms of random and non-random measurement errors.
In Figure 1, ξ1 is an exogenous latent construct, measured by three indicators x1, x2, and x3. Their measurement errors are designated as δ1, δ2, and δ3. η1 is an endogenous latent construct, measured by three indicators y1, y2, and y3. Their measurement errors are designated as ε1, ε2, and ε3. λ is the symbol for the unstandardized factor loading. The residual of the latent endogenous variable is ζ1. It represents the unexplained variance of the latent endogenous variable. The regression coefficient between the exogenous and the endogenous latent variable is Γ11. The first subscript refers to the dependent variable, the second to the independent variable.
The corresponding equation system for the model in Figure 1 is as follows:
Structural model:

Measurement model:






The intercepts of the structural and the measurement model have been omitted.
Figure 1 The General Model for Two Latent Variables

The items are conceptualized as reflective indicators, as in confirmatory factor analysis, which means that the researcher postulates a direction of influence from the latent to the observed variable. Both the measurement model and the structural model can be generalized to take into account n indicators and m constructs. One can now differentiate between three types of parameters: (1) free parameters to be estimated from the data, such as in classical multivariate analysis; (2) fixed parameters that are set a priori to a certain value such as 0 or 1; and (3) constrained parameters that are set equal to another parameter. For estimating the coefficients, several estimation methods are available. The standard method is maximum likelihood estimation. By using this method, all the free parameters are estimated simultaneously taking into account both the fixed and the constrained parameters in the minimization of the fitting function. Other estimation methods take nonnormal distributions into account such as robustified maximum likelihood, asymptotic distribution free estimator (ADF), and weighted least squares (WLS). In addition, Bayesian estimation is possible, which allows the testing of a broader class of hypotheses and which may be more robust in smaller samples. The model testing is mostly done in at least two steps, because otherwise the necessary model modifications are too complex.
...
- Comparative Politics, Theory, and Methods
- Anarchism
- Anarchy
- Breakdown of Political Systems
- Cabinets
- Censorship
- Central Banks
- Change, Institutional
- Charisma
- Citizenship
- Collaboration
- Comparative Methods
- Comparative Politics
- Competition, Political
- Conditionality
- Constitutional Engineering
- Corporativism
- Decentralization
- Democracy, Types of
- Discursive Institutionalism
- Elites
- Environmental Issues
- Executive
- Government
- Historical Sociology
- Human Rights, Comparative Perspectives
- Hybrid Regimes
- Institutionalization
- Institutionalization
- Institutions and Institutionalism
- Interest Groups
- Irredentism
- Labor Movement
- Leadership
- Legitimacy
- Military Rule
- Monarchy
- Neo-Patrimonialism
- Neo-Weberian State
- Oligarchy
- Path Dependence
- Personalization of Politics
- Pillarization
- Political Integration
- Political Science, International
- Political Systems, Types
- Politics of Language
- Presidentialism
- Prospect Theory
- Qualitative Comparative Analysis
- Referenda
- Reform
- Regime (Comparative Politics)
- Regionalism
- Regionalization
- Representation
- Republic
- Republicanism
- Responsibility
- Responsiveness
- Revolution
- Rule of Law
- Secession
- Semipresidentialism
- Separation of Powers
- Social Movements
- Socialist Systems
- Stability
- State
- State, Virtual
- Terrorist Groups
- Totalitarian Regimes
- Welfare Policies
- Welfare State
- Case and Area Studies
- Area Studies
- Authoritarian Regimes
- Case Studies
- Caudillismo
- Communist Systems
- Comparative Methods
- Comparative Politics
- Cross-National Surveys
- Democracy: Chinese Perspectives
- Democracy: Middle East Perspectives
- Democracy: Russian Perspectives
- Fascist Movements
- Multiculturalism
- Populist Movements
- Postcommunist Regimes
- Regional Integration (Supranational)
- Subnational Governments
- Democracy and Democratization
- Accountability
- Accountability, Electoral
- Accountability, Interinstitutional
- Change, Institutional
- Citizenship
- Civil Service
- Coalitions
- Collaboration
- Colonialism
- Competition, Political
- Conditionality
- Constitutional Engineering
- Constitutionalism
- Corruption, Administrative
- Credible Commitment
- Democracy, Direct
- Democracy, Quality
- Democracy, Types of
- Democracy: Chinese Perspectives
- Democracy: Middle East Perspectives
- Democracy: Russian Perspectives
- Democratization
- Developing World and International Relations
- Development Administration
- Development, Political
- Empowerment
- Federalism
- Foreign Aid and Development
- Governance
- Governance, Good
- Groupthink
- Human Development
- Liberalization
- Modernization Theory
- Monarchy
- Nation Building
- Opposition
- Peasants' Movements
- Pluralist Interest Intermediation
- Postcolonialism
- Postmaterialism
- Representation
- Responsibility
- Responsiveness
- Responsiveness of Bureaucracy
- Rule of Law
- Self-Determination
- Semipresidentialism
- State Collapse
- State Failure
- State Formation
- Sustainable Development
- Traditional Rule
- Transition
- Transitional Justice
- Decision Making in Democracies
- Cost–Benefit Analysis
- Delegation
- Deliberative Policy Making
- Election by Lot
- Election Observation
- Election Research
- Elections, Primary
- Elections, Volatility
- Electoral Behavior
- Electoral Campaigns
- Electoral Geography
- Electoral Systems
- Electoral Turnout
- Executive
- Judicial Independence
- Judicial Systems
- Lobbying
- Parliamentary Systems
- Parliaments
- Participation
- Participation, Contentious
- Referenda
- Separation of Powers
- Voting Rules, Electoral, Effects of
- Voting Rules, Legislative
- Epistemological Foundations
- Behavioralism
- Biology and Politics
- Causality
- Concept Formation
- Conditions, Necessary and Sufficient
- Constructivism
- Constructivism in International Relations
- Critical Theory
- Critical Theory in International Relations
- Culturalism
- Democracy, Theories of
- Epistemic Communities
- Epistemological and Methodological Foundations
- Ethics
- Feminist Theory in International Relations
- Functionalism
- Historical Sociology
- Idealism
- Ideology
- Institutional Theory
- Institutions and Institutionalism
- Logic of Appropriateness
- Methodology
- Multiculturalism
- Neoliberal Institutionalism
- Neoliberalism
- Paradigms in Political Science
- Positivism
- Quantitative Versus Qualitative Methods
- Rationalism, Critical
- Rationality, Bounded
- Systems Theory
- Utilitarianism
- Gender and Race/Ethnicity
- International Relations
- Balance of Power
- Colonialism
- Constructivism in International Relations
- Containment
- Critical Theory
- Critical Theory in International Relations
- Democratic Peace
- Dependency Theory
- Developing World and International Relations
- Domestic Politics and International Relations
- Empire
- Europe as an International Actor
- Foreign Aid and Development
- Foreign Policy Analysis
- Governance, Global
- Human Rights in International Relations
- Indigenous Peoples' Rights
- Intergovernmentalism
- International Law
- International Organizations
- International Regimes
- International Relations as a Field of Study
- International Relations, Theory
- International System
- International Trade
- Intervention
- Intervention, Humanitarian
- Judicialization of International Relations
- Mediation in International Relations
- Multilateralism
- Nongovernmental Organizations (NGOs)
- Normative Theory in International Relations
- Political Science, International Institutionalization
- Postmodernism in International Relations
- Psychological Explanations of International Politics
- Realism in International Relations
- Superpower
- Peace, War, and Conflict Resolution
- Alliances
- Arms Race
- Bilateralism
- Bipolarity and Multipolarity
- Civil War
- Collective Security
- Conflict Resolution
- Conflicts
- Détente
- Diplomacy
- Disarmament
- Domestic Politics and International Relations
- Empire
- Foreign Policy Analysis
- Genocide
- Imperialism
- Intervention
- Intervention, Humanitarian
- Judicial Decision Making
- Judicialization of International Relations
- Mediation in International Relations
- Militias
- Multilateralism
- National Interest
- Natural Resources
- Neutrality
- Pacifism
- Participation, Contentious
- Peace
- Peacekeeping
- Positive Peace
- Power and International Politics
- Preemptive War
- Psychological Explanations of International Politics
- Sanctions
- Secession
- Security and Defense Policy
- Security Cooperation
- Security Dilemma
- Sovereignty
- Strategic (Security) Studies
- Superpower
- Territory
- Terrorism, International
- Transatlantic Relations
- Unilateralism
- United Nations
- Violence
- War and Peace
- Warlords
- Westphalian Ideal State
- World Systems Theory
- Political Economy
- Capitalism
- Central Banks
- Class, Social
- Cost–Benefit Analysis
- Economic Policy
- Economic Statecraft
- Economic Theories of Politics
- Foreign Aid and Development
- Inequality, Economic
- International Monetary Fund (IMF)
- International Political Economy
- Labor Movement
- Market Economy
- Market Failure
- Monetary Relations
- Multilateralism
- Multinational Corporations (MNCs)
- Nongovernmental Organizations (NGOs)
- Policy, Employment
- Political Economy
- Privatization
- Property
- Protectionism
- Public Budgeting
- Public Employment
- Public Goods
- Redistribution
- Social Stratification
- Sustainable Development
- Tax Policy
- Trade Liberalization
- Traditional Rule
- Tragedy of the Commons
- Transaction Costs
- Transformation, Economic
- Welfare Policies
- Welfare State
- World Bank
- World Trade Organization (WTO)
- Political Parties
- Christian Democratic Parties
- Cleavages, Social and Political
- Communist Parties
- Conservative Parties
- Green Parties
- Liberal Parties
- One-Party Dominance
- Parties
- Party Finance
- Party Identification
- Party Linkage
- Party Manifesto
- Party Organization
- Party System Fragmentation
- Party Systems
- Social Democracy
- Socialist Parties
- Political Philosophy/Theory
- African Political Thought
- Anarchism
- Charisma
- Communism
- Communitarianism
- Conservatism
- Constitutionalism
- Contract Theory
- Democracy, Theories of
- Discursive Institutionalism
- Ethics
- Fascism
- Fundamentalism
- Greek Philosophy
- Idealism in International Relations
- Liberalism
- Liberalism in International Relations
- Libertarianism
- Liberty
- Maoism
- Marxism
- Mercantilism
- Nationalism
- Neoliberal Institutionalism
- Neoliberalism
- Normative Political Theory
- Normative Theory in International Relations
- Pacifism
- Pluralism
- Political Class
- Political Philosophy
- Political Psychology
- Political Theory
- Postmodernism in International Relations
- Realism in International Relations
- Revisionism
- Rights
- Secularism
- Socialism
- Stalinism
- Statism
- Theocracy
- Utilitarianism
- Utopianism
- Equality and Inequality
- Formal and Positive Theory
- Theorists
- Political Sociology
- Alienation
- Anomia
- Apathy
- Attitude Consistency
- Beliefs
- Civic Culture
- Civic Participation
- Corporativism
- Credible Commitment
- Diaspora
- Dissatisfaction, Political
- Elections, Primary
- Electoral Behavior
- Elitism
- Empowerment
- Hegemony
- Historical Memory
- Intellectuals
- International Public Opinion
- International Society
- Media, Electronic
- Media, Print
- Migration
- Mobilization, Political
- Neo-Corporatism
- Networks
- Nonstate Actors
- Participation
- Participation, Contentious
- Party Identification
- Patriotism
- Pillarization
- Political Communication
- Political Culture
- Political Socialization
- Political Sociology as a Field of Study
- Popular Culture
- Power
- Schema
- Script
- Social Capital
- Social Cohesion
- Social Dominance Orientation
- Solidarity
- Subject Culture
- Support, Political
- Tolerance
- Trust, Social
- Values
- Violence
- Public Policy
- Advocacy
- Advocacy Coalition Framework
- Agencies
- Agenda Setting
- Bargaining
- Common Goods
- Complexity
- Compliance
- Contingency Theory
- Cooperation
- Coordination
- Crisis Management
- Deregulation
- Discretion
- Discursive Policy Analysis
- Environmental Policy
- Environmental Security Studies
- Europeanization of Policy
- Evidence-Based Policy
- Immigration Policy
- Impacts, Policy
- Implementation
- Joint-Decision Trap
- Judicial Decision Making
- Judicial Review
- Legalization of Policy
- Metagovernance
- Monitoring
- Neo-Weberian State
- New Public Management
- Organization Theory
- Policy Advice
- Policy Analysis
- Policy Community
- Policy Cycle
- Policy Evaluation
- Policy Formulation
- Policy Framing
- Policy Instruments
- Policy Learning
- Policy Network
- Policy Process, Models of
- Policy, Constructivist Models
- Policy, Discourse Models
- Policy, Employment
- Prospect Theory
- Reorganization
- Risk and Public Policy
- Self-Regulation
- Soft Law
- Stages Model of Policy Making
- Think Tanks
- Tragedy of the Commons
- Transaction Costs
- Public Administration
- Administration
- Administration Theory
- Audit Society
- Auditing
- Autonomy, Administrative
- Budgeting, Rational Models
- Bureaucracy
- Bureaucracy, Rational Choice Models
- Bureaucracy, Street-Level
- Civil Service
- Corruption, Administrative
- Effectiveness, Bureaucratic
- Governance
- Governance Networks
- Governance, Administration Policies
- Governance, Informal
- Governance, Multilevel
- Governance, Urban
- Groupthink
- Health Policy
- Intelligence
- Pay for Performance
- Performance
- Performance Management
- Planning
- Police
- Politicization of Bureaucracy
- Politicization of Civil Service
- Public Budgeting
- Public Employment
- Public Goods
- Public Office, Rewards
- Regulation
- Representative Bureaucracy
- Responsiveness of Bureaucracy
- Secret Services
- Security Apparatus
- Qualitative Methods
- Analytic Narratives: Applications
- Analytic Narratives: The Method
- Configurational Comparative Methods
- Data, Textual
- Discourse Analysis
- Ethnographic Methods
- Evaluation Research
- Fuzzy-Set Analysis
- Grounded Theory
- Hermeneutics
- Interviewing
- Interviews, Elite
- Interviews, Expert
- Mixed Methods
- Network Analysis
- Participant Observation
- Process Tracing
- Qualitative Comparative Analysis
- Quantitative Versus Qualitative Methods
- Thick Description
- Triangulation
- Quantitative Methods
- Aggregate Data Analysis
- Analysis of Variance
- Boolean Algebra
- Categorical Response Data
- Censored and Truncated Data
- Cohort Analysis
- Correlation
- Correspondence Analysis
- Cross-National Surveys
- Cross-Tabular Analysis
- Data Analysis, Exploratory
- Data Visualization
- Data, Archival
- Data, Missing
- Data, Spatial
- Event Counts
- Event History Analysis
- Experiments, Field
- Experiments, Laboratory
- Experiments, Natural
- Factor Analysis
- Fair Division
- Fuzzy-Set Analysis
- Granger Causality
- Graphics, Statistical
- Hypothesis Testing
- Inference, Ecological
- Interaction Effects
- Item–Response (Rasch) Models
- Logit and Probit Analyses
- Matching
- Maximum Likelihood
- Measurement
- Measurement, Levels
- Measurement, Scales
- Meta-Analysis
- Misspecification
- Mixed Methods
- Model Specification
- Models, Computational/Agent-Based
- Monte Carlo Methods
- Multilevel Analysis
- Nonlinear Models
- Nonparametric Methods
- Panel Data Analysis
- Political Risk Analysis
- Prediction and Forecasting
- Quantitative Methods, Basic Assumptions
- Quantitative Versus Qualitative Methods
- Regression
- Robust Statistics
- Sampling, Random and Nonrandom
- Scaling
- Scaling Methods: A Taxonomy
- Selection Bias
- Simultaneous Equation Modeling
- Statistical Inference, Classical and Bayesian
- Statistical Significance
- Statistics: Overview
- Structural Equation Modeling
- Survey Research
- Survey Research Modes
- Time-Series Analysis
- Time-Series Cross-Section Data and Methods
- Triangulation
- Variables
- Variables, Instrumental
- Weighted Least Squares
- Religion
- Loading...
Get a 30 day FREE TRIAL
-
Watch videos from a variety of sources bringing classroom topics to life
-
Read modern, diverse business cases
-
Explore hundreds of books and reference titles
Sage Recommends
We found other relevant content for you on other Sage platforms.
Have you created a personal profile? Login or create a profile so that you can save clips, playlists and searches