Entry
Reader's guide
Entries A-Z
Subject index
Multilevel Analysis
Multilevel modeling is used in the analysis of data that have a clustered structure. Such data arise in various fields—for instance, in educational research, where pupils are nested in classes; in medical research, where patients are nested within hospitals; and also in political research, where individuals are nested in a social context. A crucial problem in the statistical analysis of clustered data is the dependencies between individual observations. For example, voters from the same city are not independent from one another, because they are all influenced by local policy. The statistical analysis performed on clustered data should account for this dependency. However, statistical analysis can also benefit from such dependency. The characteristics of different levels can be combined into one explanatory model and conclusions can be drawn about their effects, both at each level and in interaction. In the following sections, the multilevel model is explained and illustrated by means of a political example.
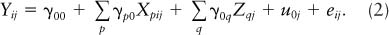
The starting point for explaining the multilevel regression model is the idea that the dependent variable, allocated at the lowest level, is thought to be influenced by all distinguished levels. With respect to a two-level model, this principle can be seen in the following equation (the intercept-only model):

The dependent variable Y of an individual i in group j is decomposed into three different parts. Because there are no explanatory variables in the model yet, the explanatory part of the model consists only of the grand mean γ00. The unexplained part of the model consists of two parts: an error at the highest level (u0j) and an error at the lowest level (eij). This means that the total variance of the dependent variable is decomposed into two parts: the error variance at the lowest level (σ2e) and the error variance at the second level (σ2u0). A good explanation of the dependent variable is therefore based on both levels. Of course, one should keep in mind that the division over both levels can differ per variable. The more error variance there is at the lowest level, the less important the second level will be.
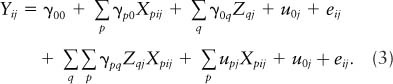
Adding explanatory variables of both levels gives the following equation:

In this equation, p explanatory variables of the lower level and q explanatory variables of the second level are added to the model. Interactions between variables of the lowest level are also called p, and interactions between variables of the second level are called q. Because these variables will explain a part of the variance at both levels, the errors will become smaller and the explained variance in the dependent variable can be calculated.
Interactions between variables of different levels take up a special position in the model. The influence of a lower-level variable on the dependent variable may depend on a second-level variable. This is called a cross-level interaction (or moderator effect). Adding cross-level interactions to the model, gives the final, and most elaborated, multilevel model:

Looking at this equation, one can see that not only are the cross-level interactions added to the model but there also are p extra error terms in the model: upjXpij. The errors upj, the unexplained parts of the regression coefficients of the lowest level, are multiplied with the lowest-level variables and are therefore different for different values of the X variables. This is called heteroskedasticity. In ordinary regression analysis, homoskedasticity is assumed, which means that the variance of the errors is independent of the values of the explanatory variables. Therefore, analyzing the model presented in Equation 3 requires a multilevel analysis. The variance of the errors upj is σ2up.
...
- Comparative Politics, Theory, and Methods
- Anarchism
- Anarchy
- Breakdown of Political Systems
- Cabinets
- Censorship
- Central Banks
- Change, Institutional
- Charisma
- Citizenship
- Collaboration
- Comparative Methods
- Comparative Politics
- Competition, Political
- Conditionality
- Constitutional Engineering
- Corporativism
- Decentralization
- Democracy, Types of
- Discursive Institutionalism
- Elites
- Environmental Issues
- Executive
- Government
- Historical Sociology
- Human Rights, Comparative Perspectives
- Hybrid Regimes
- Institutionalization
- Institutionalization
- Institutions and Institutionalism
- Interest Groups
- Irredentism
- Labor Movement
- Leadership
- Legitimacy
- Military Rule
- Monarchy
- Neo-Patrimonialism
- Neo-Weberian State
- Oligarchy
- Path Dependence
- Personalization of Politics
- Pillarization
- Political Integration
- Political Science, International
- Political Systems, Types
- Politics of Language
- Presidentialism
- Prospect Theory
- Qualitative Comparative Analysis
- Referenda
- Reform
- Regime (Comparative Politics)
- Regionalism
- Regionalization
- Representation
- Republic
- Republicanism
- Responsibility
- Responsiveness
- Revolution
- Rule of Law
- Secession
- Semipresidentialism
- Separation of Powers
- Social Movements
- Socialist Systems
- Stability
- State
- State, Virtual
- Terrorist Groups
- Totalitarian Regimes
- Welfare Policies
- Welfare State
- Case and Area Studies
- Area Studies
- Authoritarian Regimes
- Case Studies
- Caudillismo
- Communist Systems
- Comparative Methods
- Comparative Politics
- Cross-National Surveys
- Democracy: Chinese Perspectives
- Democracy: Middle East Perspectives
- Democracy: Russian Perspectives
- Fascist Movements
- Multiculturalism
- Populist Movements
- Postcommunist Regimes
- Regional Integration (Supranational)
- Subnational Governments
- Democracy and Democratization
- Accountability
- Accountability, Electoral
- Accountability, Interinstitutional
- Change, Institutional
- Citizenship
- Civil Service
- Coalitions
- Collaboration
- Colonialism
- Competition, Political
- Conditionality
- Constitutional Engineering
- Constitutionalism
- Corruption, Administrative
- Credible Commitment
- Democracy, Direct
- Democracy, Quality
- Democracy, Types of
- Democracy: Chinese Perspectives
- Democracy: Middle East Perspectives
- Democracy: Russian Perspectives
- Democratization
- Developing World and International Relations
- Development Administration
- Development, Political
- Empowerment
- Federalism
- Foreign Aid and Development
- Governance
- Governance, Good
- Groupthink
- Human Development
- Liberalization
- Modernization Theory
- Monarchy
- Nation Building
- Opposition
- Peasants' Movements
- Pluralist Interest Intermediation
- Postcolonialism
- Postmaterialism
- Representation
- Responsibility
- Responsiveness
- Responsiveness of Bureaucracy
- Rule of Law
- Self-Determination
- Semipresidentialism
- State Collapse
- State Failure
- State Formation
- Sustainable Development
- Traditional Rule
- Transition
- Transitional Justice
- Decision Making in Democracies
- Cost–Benefit Analysis
- Delegation
- Deliberative Policy Making
- Election by Lot
- Election Observation
- Election Research
- Elections, Primary
- Elections, Volatility
- Electoral Behavior
- Electoral Campaigns
- Electoral Geography
- Electoral Systems
- Electoral Turnout
- Executive
- Judicial Independence
- Judicial Systems
- Lobbying
- Parliamentary Systems
- Parliaments
- Participation
- Participation, Contentious
- Referenda
- Separation of Powers
- Voting Rules, Electoral, Effects of
- Voting Rules, Legislative
- Epistemological Foundations
- Behavioralism
- Biology and Politics
- Causality
- Concept Formation
- Conditions, Necessary and Sufficient
- Constructivism
- Constructivism in International Relations
- Critical Theory
- Critical Theory in International Relations
- Culturalism
- Democracy, Theories of
- Epistemic Communities
- Epistemological and Methodological Foundations
- Ethics
- Feminist Theory in International Relations
- Functionalism
- Historical Sociology
- Idealism
- Ideology
- Institutional Theory
- Institutions and Institutionalism
- Logic of Appropriateness
- Methodology
- Multiculturalism
- Neoliberal Institutionalism
- Neoliberalism
- Paradigms in Political Science
- Positivism
- Quantitative Versus Qualitative Methods
- Rationalism, Critical
- Rationality, Bounded
- Systems Theory
- Utilitarianism
- Gender and Race/Ethnicity
- International Relations
- Balance of Power
- Colonialism
- Constructivism in International Relations
- Containment
- Critical Theory
- Critical Theory in International Relations
- Democratic Peace
- Dependency Theory
- Developing World and International Relations
- Domestic Politics and International Relations
- Empire
- Europe as an International Actor
- Foreign Aid and Development
- Foreign Policy Analysis
- Governance, Global
- Human Rights in International Relations
- Indigenous Peoples' Rights
- Intergovernmentalism
- International Law
- International Organizations
- International Regimes
- International Relations as a Field of Study
- International Relations, Theory
- International System
- International Trade
- Intervention
- Intervention, Humanitarian
- Judicialization of International Relations
- Mediation in International Relations
- Multilateralism
- Nongovernmental Organizations (NGOs)
- Normative Theory in International Relations
- Political Science, International Institutionalization
- Postmodernism in International Relations
- Psychological Explanations of International Politics
- Realism in International Relations
- Superpower
- Peace, War, and Conflict Resolution
- Alliances
- Arms Race
- Bilateralism
- Bipolarity and Multipolarity
- Civil War
- Collective Security
- Conflict Resolution
- Conflicts
- Détente
- Diplomacy
- Disarmament
- Domestic Politics and International Relations
- Empire
- Foreign Policy Analysis
- Genocide
- Imperialism
- Intervention
- Intervention, Humanitarian
- Judicial Decision Making
- Judicialization of International Relations
- Mediation in International Relations
- Militias
- Multilateralism
- National Interest
- Natural Resources
- Neutrality
- Pacifism
- Participation, Contentious
- Peace
- Peacekeeping
- Positive Peace
- Power and International Politics
- Preemptive War
- Psychological Explanations of International Politics
- Sanctions
- Secession
- Security and Defense Policy
- Security Cooperation
- Security Dilemma
- Sovereignty
- Strategic (Security) Studies
- Superpower
- Territory
- Terrorism, International
- Transatlantic Relations
- Unilateralism
- United Nations
- Violence
- War and Peace
- Warlords
- Westphalian Ideal State
- World Systems Theory
- Political Economy
- Capitalism
- Central Banks
- Class, Social
- Cost–Benefit Analysis
- Economic Policy
- Economic Statecraft
- Economic Theories of Politics
- Foreign Aid and Development
- Inequality, Economic
- International Monetary Fund (IMF)
- International Political Economy
- Labor Movement
- Market Economy
- Market Failure
- Monetary Relations
- Multilateralism
- Multinational Corporations (MNCs)
- Nongovernmental Organizations (NGOs)
- Policy, Employment
- Political Economy
- Privatization
- Property
- Protectionism
- Public Budgeting
- Public Employment
- Public Goods
- Redistribution
- Social Stratification
- Sustainable Development
- Tax Policy
- Trade Liberalization
- Traditional Rule
- Tragedy of the Commons
- Transaction Costs
- Transformation, Economic
- Welfare Policies
- Welfare State
- World Bank
- World Trade Organization (WTO)
- Political Parties
- Christian Democratic Parties
- Cleavages, Social and Political
- Communist Parties
- Conservative Parties
- Green Parties
- Liberal Parties
- One-Party Dominance
- Parties
- Party Finance
- Party Identification
- Party Linkage
- Party Manifesto
- Party Organization
- Party System Fragmentation
- Party Systems
- Social Democracy
- Socialist Parties
- Political Philosophy/Theory
- African Political Thought
- Anarchism
- Charisma
- Communism
- Communitarianism
- Conservatism
- Constitutionalism
- Contract Theory
- Democracy, Theories of
- Discursive Institutionalism
- Ethics
- Fascism
- Fundamentalism
- Greek Philosophy
- Idealism in International Relations
- Liberalism
- Liberalism in International Relations
- Libertarianism
- Liberty
- Maoism
- Marxism
- Mercantilism
- Nationalism
- Neoliberal Institutionalism
- Neoliberalism
- Normative Political Theory
- Normative Theory in International Relations
- Pacifism
- Pluralism
- Political Class
- Political Philosophy
- Political Psychology
- Political Theory
- Postmodernism in International Relations
- Realism in International Relations
- Revisionism
- Rights
- Secularism
- Socialism
- Stalinism
- Statism
- Theocracy
- Utilitarianism
- Utopianism
- Equality and Inequality
- Formal and Positive Theory
- Theorists
- Political Sociology
- Alienation
- Anomia
- Apathy
- Attitude Consistency
- Beliefs
- Civic Culture
- Civic Participation
- Corporativism
- Credible Commitment
- Diaspora
- Dissatisfaction, Political
- Elections, Primary
- Electoral Behavior
- Elitism
- Empowerment
- Hegemony
- Historical Memory
- Intellectuals
- International Public Opinion
- International Society
- Media, Electronic
- Media, Print
- Migration
- Mobilization, Political
- Neo-Corporatism
- Networks
- Nonstate Actors
- Participation
- Participation, Contentious
- Party Identification
- Patriotism
- Pillarization
- Political Communication
- Political Culture
- Political Socialization
- Political Sociology as a Field of Study
- Popular Culture
- Power
- Schema
- Script
- Social Capital
- Social Cohesion
- Social Dominance Orientation
- Solidarity
- Subject Culture
- Support, Political
- Tolerance
- Trust, Social
- Values
- Violence
- Public Policy
- Advocacy
- Advocacy Coalition Framework
- Agencies
- Agenda Setting
- Bargaining
- Common Goods
- Complexity
- Compliance
- Contingency Theory
- Cooperation
- Coordination
- Crisis Management
- Deregulation
- Discretion
- Discursive Policy Analysis
- Environmental Policy
- Environmental Security Studies
- Europeanization of Policy
- Evidence-Based Policy
- Immigration Policy
- Impacts, Policy
- Implementation
- Joint-Decision Trap
- Judicial Decision Making
- Judicial Review
- Legalization of Policy
- Metagovernance
- Monitoring
- Neo-Weberian State
- New Public Management
- Organization Theory
- Policy Advice
- Policy Analysis
- Policy Community
- Policy Cycle
- Policy Evaluation
- Policy Formulation
- Policy Framing
- Policy Instruments
- Policy Learning
- Policy Network
- Policy Process, Models of
- Policy, Constructivist Models
- Policy, Discourse Models
- Policy, Employment
- Prospect Theory
- Reorganization
- Risk and Public Policy
- Self-Regulation
- Soft Law
- Stages Model of Policy Making
- Think Tanks
- Tragedy of the Commons
- Transaction Costs
- Public Administration
- Administration
- Administration Theory
- Audit Society
- Auditing
- Autonomy, Administrative
- Budgeting, Rational Models
- Bureaucracy
- Bureaucracy, Rational Choice Models
- Bureaucracy, Street-Level
- Civil Service
- Corruption, Administrative
- Effectiveness, Bureaucratic
- Governance
- Governance Networks
- Governance, Administration Policies
- Governance, Informal
- Governance, Multilevel
- Governance, Urban
- Groupthink
- Health Policy
- Intelligence
- Pay for Performance
- Performance
- Performance Management
- Planning
- Police
- Politicization of Bureaucracy
- Politicization of Civil Service
- Public Budgeting
- Public Employment
- Public Goods
- Public Office, Rewards
- Regulation
- Representative Bureaucracy
- Responsiveness of Bureaucracy
- Secret Services
- Security Apparatus
- Qualitative Methods
- Analytic Narratives: Applications
- Analytic Narratives: The Method
- Configurational Comparative Methods
- Data, Textual
- Discourse Analysis
- Ethnographic Methods
- Evaluation Research
- Fuzzy-Set Analysis
- Grounded Theory
- Hermeneutics
- Interviewing
- Interviews, Elite
- Interviews, Expert
- Mixed Methods
- Network Analysis
- Participant Observation
- Process Tracing
- Qualitative Comparative Analysis
- Quantitative Versus Qualitative Methods
- Thick Description
- Triangulation
- Quantitative Methods
- Aggregate Data Analysis
- Analysis of Variance
- Boolean Algebra
- Categorical Response Data
- Censored and Truncated Data
- Cohort Analysis
- Correlation
- Correspondence Analysis
- Cross-National Surveys
- Cross-Tabular Analysis
- Data Analysis, Exploratory
- Data Visualization
- Data, Archival
- Data, Missing
- Data, Spatial
- Event Counts
- Event History Analysis
- Experiments, Field
- Experiments, Laboratory
- Experiments, Natural
- Factor Analysis
- Fair Division
- Fuzzy-Set Analysis
- Granger Causality
- Graphics, Statistical
- Hypothesis Testing
- Inference, Ecological
- Interaction Effects
- Item–Response (Rasch) Models
- Logit and Probit Analyses
- Matching
- Maximum Likelihood
- Measurement
- Measurement, Levels
- Measurement, Scales
- Meta-Analysis
- Misspecification
- Mixed Methods
- Model Specification
- Models, Computational/Agent-Based
- Monte Carlo Methods
- Multilevel Analysis
- Nonlinear Models
- Nonparametric Methods
- Panel Data Analysis
- Political Risk Analysis
- Prediction and Forecasting
- Quantitative Methods, Basic Assumptions
- Quantitative Versus Qualitative Methods
- Regression
- Robust Statistics
- Sampling, Random and Nonrandom
- Scaling
- Scaling Methods: A Taxonomy
- Selection Bias
- Simultaneous Equation Modeling
- Statistical Inference, Classical and Bayesian
- Statistical Significance
- Statistics: Overview
- Structural Equation Modeling
- Survey Research
- Survey Research Modes
- Time-Series Analysis
- Time-Series Cross-Section Data and Methods
- Triangulation
- Variables
- Variables, Instrumental
- Weighted Least Squares
- Religion
- Loading...
Get a 30 day FREE TRIAL
-
Watch videos from a variety of sources bringing classroom topics to life
-
Read modern, diverse business cases
-
Explore hundreds of books and reference titles
Sage Recommends
We found other relevant content for you on other Sage platforms.
Have you created a personal profile? Login or create a profile so that you can save clips, playlists and searches