Entry
Reader's guide
Entries A-Z
Subject index
Herfindahl Index
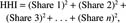
The Herfindahl Index, often called the HerfindahlHirschman Index (HHI), is a measure of market concentration, which can be defined as the percentage of total industry sales that are contributed by the largest firms in an industry. The HHI is a measure of the size of firms in a given industry and an indicator of the degree of competition in that industry. It is a more sophisticated method of measuring market concentration than the more common method that uses the fourfirm concentration ratio (the percentage of industry sales made by the leading four firms in a given industry). This measure is of interest to antitrust authorities who are trying to determine the impact of a proposed merger on competition in an industry. The formula for calculating the index is shown below.

where the terms in parentheses (Share 1, Share 2, etc.) are the market shares for each firm, the last term (Share n) indicates the market share of the last firm, and the superscript 2 indicates the market share is being squared.
For example, consider an industry consisting of six firms with the following allocation of market shares:

The HHI was first adopted in 1982 by the Reagan administration and is calculated as shown above by squaring the market share of all firms in the market and summing the squares. The premerger HHI number is then compared with the increase in the HHI that will be caused by a proposed merger. The HHI can vary from 10,000, in the case of a pure monopoly, to a number approaching zero in the case of an atomistic market. If the postmerger HHI is below 1,000, the industry is considered to have low concentration and the merger is unlikely to be challenged. If the postmerger index is between 1,000 and 1,800, the industry is considered to have medium concentration and the merger is likely to be challenged only if the increase is more than 100 points. If the postmerger HHI is above 1,800, the industry is considered to be highly concentrated and the merger is likely to be challenged if the increase is more than 50 points.
An advantage of the HHI is that it gives added weight to the largest companies on the assumption that these firms can exercise greater market control. The index helps differentiate between one industry in which four players have equal shares and another in which one player has a 70% market share and the three others only 10%. The former industry would be more competitive and have a lower HHI index. A disadvantage is that the HHI requires a substantial amount of information in that the market share of every firm in the industry is needed. In practice, however, the smallest firms in an industry can usually be left out of the calculation and this will not make a significant change in the final index.
Further Readings
...
- Political Theory, Thought, and Policy
- AARP
- Adverse Selection
- Advisory Panels and Committees
- Affirmative Action
- AFL-CIO
- Age Discrimination
- Agency, Theory of
- Agrarianism
- Airline Deregulation
- American Bar Association
- American Civil Liberties Union (ACLU)
- American Federation of State, County and Municipal Employees
- American Federation of Teachers
- American Medical Association (AMA)
- Antitrust Laws
- Arendt, Hannah
- Aristotle
- Arms Trade
- Arrow, Kenneth
- Arrow's Impossibility Theorem
- Aspen Institute's Business and Society Program
- Association of Community Organizations for Reform Now (ACORN)
- Association of Trial Lawyers of America (ATLA)
- Bankruptcy, Ethical Issues in
- Benefits, Employee
- Better Business Bureau (BBB)
- Bilderberg Group
- Bretton Woods Institutions
- Business Law
- Business, Purpose of
- Campaign Finance Laws
- Capitalism
- Cato Institute
- Chamber of Commerce of the United States
- Child Labor
- Civil Rights
- Clarkson Principles for Business
- Codes of Conduct, Ethical and Professional
- Collective Choice
- Colonialism
- Common Law
- Commons, The
- Communism
- Communitarianism
- Commutative Theory of Justice
- Comparable Worth
- Consumer Federation of America
- Consumer Protection Legislation
- Consumer Rights
- Consumer's Bill of Rights
- Consumerism
- Consumption Taxes
- Copyrights
- Corporate Average Fuel Economy (CAFE) Standards
- Corporate Citizenship
- Corporate Governance
- Corporate Philanthropy
- Corporate Political Advocacy
- Corporate Rights and Personhood
- Corporate Social Financial Performance
- Corporate Social Responsibility (CSR) and Corporate Social Performance (CSP)
- Council of Economic Advisers
- Council on Foreign Relations
- Cultural Imperialism
- Deregulation
- Discounting the Future
- Diversity in the Workplace
- Divestment
- Doha Development Round of 2001
- Double Taxation
- Due Process
- Dumping
- Economic Growth
- Economic Incentives
- Economic Rationality
- Economics of Well-Being (Post-Welfarist Economics)
- Egalitarianism
- Eminent Domain
- Employee Protection and Workplace Safety Legislation
- Employee Retirement Income Security Act of 1974 (ERISA)
- Employee Rights Movement
- Employment Discrimination
- Entitlements
- Environmental Protection Agency (EPA)
- Environmental Protection Legislation and Regulation
- Equal Employment Opportunity
- Equal Opportunity
- Ethics and the Tobacco Industry
- European Union
- European Union Directive on Privacy and Electronic Communications
- Fair Labor Association (FLA)
- Fairness
- Federal Reserve System
- Federal Sentencing Guidelines
- Federal Trade Commission (FTC)
- Fiduciary Duty
- Flat Tax
- Food and Drug Safety Legislation
- Foreign Corrupt Practices Act of 1977 (FCPA)
- Foreign Direct Investment (FDI)
- Free Market
- Friedman, Milton
- Game Theory
- Gay Rights
- Gender Inequality and Discrimination
- Glass Ceiling
- Global Codes of Conduct
- Government Accountability Office (GAO)
- Gross Domestic Product (GDP)
- Gross National Product (GNP)
- Hayek, Friedrich A.
- Health Insurance Portability and Accountability Act
- Herfindahl Index
- Hobbes, Thomas
- Human Capital
- Human Nature
- Human Rights
- Immigration Policy
- Immigration Reform and Control Act of 1986
- Income Distribution
- Individualism
- Industrial Policy
- Informed Consent
- Institutional Framing
- Interest Groups
- Intergenerational Equity
- International Business Ethics
- International Labour Organization (ILO)
- International Monetary Fund (IMF)
- International Organization for Standardization (ISO)
- International Trade
- Interstate Commerce Commission (ICC)
- Iron Triangles
- Just Price
- Just Wage
- Justice, Compensatory
- Justice, Distributive
- Justice, Retributive
- Justice, Theories of
- Kyoto Protocol
- Labor Unions
- Laissez-Faire
- Legal Rights
- Liberalism
- Libertarianism
- Life Settlements
- Litigation, Civil
- Living Wage
- Locke, John
- Machiavellianism
- Majoritarianism
- Managed Competition
- Market for Corporate Control
- Market Power
- Market Socialism
- Marx, Karl
- Marxism
- Medicaid
- Medicare
- Mergers, Acquisitions, and Takeovers
- Meritocracy
- Mill, John Stuart
- Minimum Wage
- Mixed Economy
- Monetary Policy
- Monopolies, Duopolies, and Oligopolies
- Monopsony
- Morality, Public and Private
- Most Favoured Nation Status
- Motives and Self-Interest
- National Labor Relations Board
- Nationalization
- Natural Law Ethical Theory
- Natural Resources Defense Council
- Neoconservatism
- NIMBY (Not in My Backyard) Phenomenon
- North American Free Trade Agreement (NAFTA)
- Occupational Safety and Health Administration (OSHA)
- Organisation for Economic Co-operation and Development (OECD)
- Organization of Petroleum Exporting Countries (OPEC)
- Pareto, Vilfredo
- Paternalism
- Patients' Bill of Rights
- Patriarchy
- Pensions
- People for the Ethical Treatment of Animals (PETA)
- Pluralism
- Political Action Committees (PACs)
- Political Economy
- Political Legitimacy
- Political Risk
- Political Theory
- Pollution Externalities, Socially Efficient Regulation of
- Pollution Right
- Positive Economics
- Positivism
- Postmodernism
- Preferential Treatment
- Pretexting
- Pricing, Ethical Issues in
- Privatization
- Procedural Justice: Social Science Perspectives
- Property and Property Rights
- Prudent Investor Rule
- Public Choice Theory
- Public Domain
- Public Goods
- Public Interest
- Public Utilities and Their Regulation
- Racial Discrimination
- Rand, Ayn
- Rational Choice Theory
- Rationality and Ethics
- Rawls, John
- Rawls's Theory of Justice
- Redistribution of Wealth
- Regressive Tax
- Regulation and Regulatory Agencies
- Religiously Motivated Investing
- Rent Control
- Rents, Economic
- Resource Allocation
- Restraint of Trade
- Reverse Discrimination
- Revolving Door
- Right to Work
- Rousseau, Jean-Jacques
- Sarbanes-Oxley Act of 2002
- Securities Industry Association
- Self-Interest
- Self-Regulation
- Single European Act (SEA)
- Slavery
- Smith, Adam
- Social Activists
- Social Capital
- Social Contract Theory
- Social Costs
- Social Discount Rate
- Social Efficiency
- Social Engineering
- Social Ethics
- Social Investment Forum
- Socialism
- Socially Responsible Investing (SRI)
- Stakeholder Economy
- Statism
- Strategic Corporate Social Responsibility
- Sunset Laws
- Supply-Side Economics
- Tariffs and Quotas
- Tax Ethics
- Tax Havens
- Tax Incentives
- Tax Incidence
- Terrorism
- Tort Reform
- Trade Associations
- Trade Balance
- Transparency
- Transparency International
- Trilateral Commission
- U.S. Department of Justice
- U.S. Food and Drug Administration (FDA)
- Underground Economy
- Unintended Consequences, Law of
- United Nations
- United Nations Environment Programme (UNEP)
- United Nations Global Compact
- USA PATRIOT Act
- Value-Added Tax (VAT)
- Wages for Housework
- Warranties
- Weber, Max
- Welfare Economics
- Well-Being
- Women in the Workplace
- Women's Movement
- Work and Family
- Work-Life Balance
- Worker Rights Consortium (WRC)
- World Economic Forum
- World Trade Organization (WTO)
- Problematic Practices
- Challenger Disaster
- Adelphia Communications
- Archer Daniels Midland
- Arms Trade
- Arthur Andersen
- Bank of Credit and Commerce International (BCCI)
- Bankers' Trust
- Barings Bank
- Bhopal
- Boesky, Ivan
- Chernobyl
- Children, Marketing to
- Dalkon Shield
- Dow Corning
- Enron Corporation
- Ethics and the Tobacco Industry
- Firestone Tires
- Ford Pinto
- Global Crossing
- Grasso, Richard
- Hewlett-Packard
- Iron Triangles
- Johns-Manville
- Life Settlements
- Long-Term Capital Management
- Love Canal
- Media and Violence
- Merck & Co., Inc.
- Metallgesellschaft
- Milken, Michael Robert
- Nike, Inc.
- Parmalat
- Pretexting
- Rocky Flats
- Royal Ahold Company
- Savings and Loan Scandal
- Scandals, Corporate
- Silkwood, Karen
- Stewart, Martha
- Teapot Dome Scandal
- Teleopathy
- Triangle Shirtwaist Fire
- Tyco International
- Tylenol Tampering
- Vatican Bank
- WorldCom
- Rights
- Adverse Selection
- Advertising, Subliminal
- Affirmative Action
- African Business Ethics
- Age Discrimination
- Agency, Theory of
- Animal Rights
- Animal Rights Movement
- Autonomy
- Benefits, Employee
- Bioethics
- Bluffing and Deception in Negotiations
- Bottom of the Pyramid
- Business Ethics and Health Care
- Capabilities Approach to Distributive Justice
- Capitalism
- Cartels
- Child Labor
- Civil Rights
- Coercion
- Collusion
- Colonialism
- Communism
- Communitarianism
- Comparable Worth
- Compensatory Damages
- Conscience
- Consequentialist Ethical Systems
- Consumer Fraud
- Consumer Rights
- Consumer's Bill of Rights
- Contracts
- Copyrights
- Cost-Benefit Analysis
- Darwinism and Ethics
- Deceptive Advertising
- Deontological Ethical Systems
- Desert
- Developing Countries, Business Ethics in
- Dignity
- Disclosure
- Diversity in the Workplace
- Doctrine of Double Effect
- Downsizing
- Due Process
- Economics and Ethics
- Egalitarianism
- Eminent Domain
- Employee Rights Movement
- Employment Contracts
- Employment Discrimination
- Empowerment
- Entitlements
- Equal Opportunity
- Equality
- Ethical Nihilism
- Ethics of Care
- Ethics, Theories of
- Exploitation
- Extortion
- Fairness
- Feminist Ethics
- Feminist Theory
- Ferguson, Adam
- Fraud
- Free Market
- Free Riders
- Free Speech in the Workplace
- Freedom and Liberty
- Freedom of Contract
- Gay Rights
- Gender Inequality and Discrimination
- Genetic Engineering
- Genetic Information in the Workplace
- Genetics and Ethics
- George, Henry
- Glass Ceiling
- Hostile Work Environment
- Human Nature
- Human Rights
- Identity Theft
- Immigration Policy
- Impartiality
- Income Distribution
- Individualism
- Intellectual Capital
- Intergenerational Equity
- Job Security
- Just Wage
- Justice, Compensatory
- Justice, Distributive
- Justice, Theories of
- Kantian Ethics
- Labor Unions
- Legal Rights
- Lesbian Ethics
- Liberalism
- Libertarianism
- Living Wage
- Majoritarianism
- Mandeville, Bernard
- Market Socialism
- Marxism
- Meaningful Work
- Meritocracy
- Minimum Wage
- Minorities
- Moral Luck
- Moral Point of View
- Moral Principle
- Moral Standing
- Natural Law Ethical Theory
- Neo-Kantian Ethics
- Nozick's Theory of Justice
- Objectivism
- Outsourcing
- Paternalism
- Patients' Bill of Rights
- Patriarchy
- Pensions
- Political Theory
- Pollution
- Pollution Right
- Postmodernism
- Preferential Treatment
- Pretexting
- Price Discrimination
- Price-Fixing
- Privacy
- Procedural Justice: Philosophical Perspectives
- Procedural Justice: Social Science Perspectives
- Property and Property Rights
- Racial Discrimination
- Rawls's Theory of Justice
- Redistribution of Wealth
- Religious Discrimination
- Reverse Discrimination
- Right to Work
- Rights, Theories of
- Self-Ownership
- Self-Realization
- Sexual Harassment
- Side-Constraints
- Slavery
- Slippery Slope Argument
- Social Contract Theory
- Social Ethics
- Socialism
- Stakeholder Theory
- Sweatshops
- Tawney, Richard Henry
- Trademarks
- Transparency
- Utilitarianism
- Virtue Ethics
- Welfare Economics
- Well-Being
- Women's Movement
- Workplace Privacy
- Accounting
- Accounting, Ethics of
- Adelphia Communications
- American Institute of Certified Public Accountants (AICPA)
- Arthur Andersen
- Bankers' Trust
- Barter
- Certified Public Accountants (CPAs)
- Chief Compliance/Ethics Officer (CCO)
- Chief Financial Officer (CFO)
- Consumer Rights
- Consumption Taxes
- Contingent Valuation
- Disclosure
- Double Taxation
- Economic Recovery Tax Act (ERTA)
- Enron Corporation
- Entrepreneurship, Ethics of
- Fiduciary Duty
- Financial Derivatives
- Flat Tax
- Global Business Citizenship
- Global Crossing
- Government Accountability Office (GAO)
- Gross Domestic Product (GDP)
- Gross National Product (GNP)
- Hedge Funds
- Individual Retirement Accounts (IRAs)
- Internal Audit
- Internal Revenue Service (IRS)
- Manipulation, Financial
- Privacy
- Professional Ethics
- Profits
- Public Company Accounting Oversight Board
- Regressive Tax
- Sarbanes-Oxley Act of 2002
- Savings and Loan Scandal
- Security Industry Association
- Social Audits
- Soft Dollar Brokerage
- Tax Ethics
- Tax Havens
- Tax Incentives
- Tax Incidence
- Tax Reform Act of 1986
- Transfer Pricing
- Transparency
- Tyco International
- Value-Added Tax (VAT)
- WorldCom
- Applied Ethics
- Accountability
- Accounting, Ethics of
- Advertising Ethics
- Advertising, Subliminal
- Affirmative Action
- African Business Ethics
- Age Discrimination
- Agency, Theory of
- Agrarianism
- Agriculture, Ethics of
- AIDS, Social and Ethical Implications for Business
- Animal Rights Movement
- Anthropocentrism
- Arendt, Hannah
- Arms Trade
- Arrow, Kenneth
- Arrow's Impossibility Theorem
- Aspen Institute's Business and Society Program
- Bait-and-Switch Practices
- Bankruptcy, Ethical Issues in
- Bayesian Approach
- Bilderberg Group
- Biocentrism
- Black Market
- Bluffing and Deception in Negotiations
- Bottom of the Pyramid
- Bounded Rationality
- Boycotts
- Buddhist Ethics
- Business Ethics
- Business Ethics and Health Care
- Business Ethics Research Centers
- Business Ethics Scholarship
- Campaign Finance Laws
- Capabilities Approach to Distributive Justice
- Capitalism
- Carrying Capacity
- Chief Compliance/Ethics Officer (CCO)
- Child Labor
- Children, Marketing to
- Christian Ethics
- Churning
- Civil Rights
- Coalition for Environmentally Responsible Economics (CERES)
- Codes of Conduct, Ethical and Professional
- Collective Choice
- Collusion
- Commodification
- Common Law
- Communism
- Comparable Worth
- Computing, Ethical Issues in
- Confidentiality Agreements
- Conflict of Interest
- Confucianism
- Conspicuous Consumption
- Consumer Fraud
- Consumer Rights
- Consumer's Bill of Rights
- Contracts
- Copyrights
- Corporate Citizenship
- Corporate Ecology
- Corporate Ethics and Compliance Programs
- Corporate Moral Agency
- Corporate Political Advocacy
- Corporate Rights and Personhood
- Corporate Social Financial Performance
- Corporate Social Responsibility (CSR) and Corporate Social Performance (CSP)
- Corporate Social Responsiveness
- Corruption
- Cost-Benefit Analysis
- Deadweight Loss
- Deceptive Advertising
- Deceptive Practices
- Developing Countries, Business Ethics in
- Digital Divide
- Disability Discrimination
- Disclosure
- Discounting the Future
- Diversity in the Workplace
- Divestment
- Dow Corning
- Downsizing
- Due Diligence
- Dumping
- Economics and Ethics
- Economics of Well-Being (Post-Welfarist Economics)
- Employee Rights Movement
- Employment Contracts
- Employment Discrimination
- Entrepreneurship, Ethics of
- Environmental Colonialism
- Equal Employment Opportunity
- Ethical Culture and Climate
- Ethical Role of the Manager
- Ethics and the Tobacco Industry
- Ethics of Persuasion
- Ethics Training Programs
- Evolutionary Psychology
- Expected Utility
- Exploitation
- Externalities
- Extortion
- Feminist Ethics
- Feminist Theory
- Ferguson, Adam
- Fidelity
- Fiduciary Duty
- Fiduciary Norm
- Finance, Ethics of
- Fraud
- Free Riders
- Free Speech in the Workplace
- Freedom of Contract
- Friedman, Milton
- Gambling
- Game Theory
- Gay Rights
- Gender Inequality and Discrimination
- Genetic Engineering
- Genetic Information in the Workplace
- George, Henry
- Glass Ceiling
- Global Business Citizenship
- Global Codes of Conduct
- Global Reporting Initiative
- Globalization
- Green Values
- Greenwashing
- Hayek, Friedrich A.
- Health Insurance Portability and Accountability Act
- Hewlett-Packard
- Hostile Work Environment
- Humanities and Business Ethics
- Hume, David
- Identity Theft
- Immigration Policy
- Incentive Compatibility
- Income Distribution
- Informed Consent
- Insider Trading
- Intellectual Property
- International Business Ethics
- Iron Triangles
- Islamic Ethics
- Jainist Ethics
- Jewish Ethics
- Job Security
- Just Price
- Just Wage
- Kohlberg, Lawrence
- Laissez-Faire
- Land Ethic
- Leadership
- Legal Ethics
- Lesbian Ethics
- Liability Theory
- Living Wage
- Machiavellianism
- Management, Ethics of
- Mandeville, Bernard
- Manipulation, Financial
- Market Power
- Market Socialism
- Marketing, Ethics of
- Marx, Karl
- Marxism
- Maternal Ethics
- Meaningful Work
- Media and Violence
- Methodologies of Business Ethics Research
- Minorities
- Moral Hazard
- Moral Leadership
- Moral Luck
- Moral Principle
- Multiculturalism
- Nash Equilibrium
- Negotiation and Bargaining
- Neoconservatism
- Objectivism
- Opportunism
- Outsourcing
- Patients' Bill of Rights
- Persuasive Advertising, Ethics of
- Piracy of Intellectual Property
- Plagiarism
- Political Legitimacy
- Pollution
- Pollution Right
- Ponzi Scheme
- Pornography
- Postmodernism and Business Ethics
- Predatory Pricing and Trading
- Preferential Treatment
- Pretexting
- Price Discrimination
- Price-Fixing
- Pricing, Ethical Issues in
- Prisoner's Dilemma
- Privacy
- Private Good
- Product Liability
- Professional Ethics
- Profit Maximization, Corporate Social Responsibility as
- Property and Property Rights
- Protestant Work Ethic
- Prudent Investor Rule
- Public Choice Theory
- Public Goods
- Public Interest
- Public Relations Ethics
- Public Utilities and Their Regulation
- Racial Discrimination
- Rational Choice Theory
- Reasonable Person Standard
- Reciprocity
- Religious Discrimination
- Religiously Motivated Investing
- Resource Allocation
- Restraint of Trade
- Revealed Preference
- Reverse Discrimination
- Right to Work
- Roles and Role Morality
- Self-Regulation
- Servant Leadership
- Sexual Harassment
- Side Payments
- Small Business Ethics
- Smith, Adam
- Social Accountability (SA)
- Social Capital
- Social Costs
- Social Efficiency
- Social Engineering
- Social Entrepreneurship
- Social Ethics
- Socialism
- Socially Responsible Investing (SRI)
- Soft Dollar Brokerage
- Stakeholder Theory
- Stewardship
- Strategy and Ethics
- Subsidies
- Sustainability
- Sweatshops
- Taoist Ethics
- Tawney, Richard Henry
- Tax Ethics
- Teaching Business Ethics
- Teleopathy
- Trademarks
- Transparency
- Triple Bottom Line
- Unfair Competition
- Unintended Consequences, Law of
- Veblen, Thorstein
- Virtue and Leadership
- Wages for Housework
- Welfare Economics
- Well-Being
- Winner's Curse
- Women in the Workplace
- Women's Movement
- Work and Family
- Work Ethic
- Work-Life Balance
- Working Conditions
- Workplace Privacy
- Corporate Management and the Environment
- Agrarianism
- Agribusiness
- Aspen Institute's Business and Society Program
- Bilderberg Group
- Bureau of Land Management
- Bureau of Reclamation
- Business Law
- Caux Principles
- Chernobyl
- Coalition for Environmentally Responsible Economies (CERES)
- Corporate Average Fuel Economy (CAFE) Standards
- Corporate Ecology
- Developing Countries, Business Ethics in
- Emissions Trading
- Environmental Assessment
- Environmental Protection Agency (EPA)
- Ethical Role of the Manager
- Factory Farming
- Global Reporting Initiative
- Globalization
- Green Marketing
- Green Revolution
- Greenwashing
- Hazardous Waste
- International Business Ethics
- International Trade
- Maquiladoras
- Monkeywrenching
- Multinational Corporations (MNCs)
- NIMBY (Not in My Backyard) Phenomenon
- Nongovernmental Organizations (NGOs)
- Nuclear Power
- People for the Ethical Treatment of Animals (PETA)
- Pollution
- Recycling
- Rocky Flats
- Silkwood, Karen
- Stewardship
- Toxic Waste
- Triple Bottom Line
- United Nations Environment Programme (UNEP)
- World Bank
- World Health Organization (WHO)
- World Resources Institute (WRI)
- World Wildlife Fund
- Corporate Powers, Organization, and Governance
- Chaebol
- Agency, Theory of
- Antitrust Laws
- Arrow, Kenneth
- Bankruptcy, Ethical Issues in
- Barriers to Entry and Exit
- Bilderberg Group
- Business Judgment Rule
- Business Law
- Business, Purpose of
- Capitalism
- Cartels
- Chief Compliance/Ethics Officer (CCO)
- Chief Executive Officer (CEO)
- Chief Financial Officer (CFO)
- Chief Operating Officer (COO)
- Chief Privacy Officer (CPO)
- Collective Choice
- Common Law
- Communism
- Communitarianism
- Comparative Advantage
- Competition
- Contracts
- Corporate Accountability
- Corporate Citizenship
- Corporate Democracy Act
- Corporate Governance
- Corporate Moral Agency
- Corporate Political Advocacy
- Corporate Rights and Personhood
- Corporate Social Financial Performance
- Corporate Social Responsibility (CSR) and Corporate Social Performance (CSP)
- Cowboy Capitalism
- Deregulation
- Developing Countries, Business Ethics in
- Directors, Corporate
- Dow Corning
- Economic Efficiency
- Economic Growth
- Egalitarianism
- Employee Stock Ownership Plans (ESOPs)
- Empowerment
- Entrepreneurship, Ethics of
- Executive Compensation
- Fairness
- Fiduciary Duty
- Fiduciary Norm
- Financial Services Industry
- Free Market
- Free Trade, Free Trade Agreements, Free Trade Zones
- Freedom and Liberty
- Freedom of Contract
- Friedman, Milton
- Global Codes of Conduct
- Globalization
- Golden Parachutes
- Hayek, Friedrich A.
- Herfindahl Index
- Incentive Compatibility
- Individualism
- Industrial Policy
- Industrial Revolution
- Insider Trading
- Integrative Social Contract Theory (ISCT)
- International Business Ethics
- Invisible Hand
- Iron Triangles
- Justice, Distributive
- Justice, Theories of
- Laissez-Faire
- Legal Rights
- Leveraged Buyouts
- Liberalism
- Libertarianism
- Managed Competition
- Maquiladoras
- Market Failure
- Market for Corporate Control
- Market Socialism
- Meaningful Work
- Mergers, Acquisitions, and Takeovers
- Meritocracy
- Minority Shareholders
- Missions and Mission Statements
- Mixed Economy
- Monopolies, Duopolies, and Oligopolies
- Monopsony
- Multinational Corporations (MNCs)
- Nationalization
- Nonprofit Organizations
- Ombudsperson
- Open-Book Management
- Organizational Moral Distress
- Participatory Management
- Political Legitimacy
- Political Theory
- Power, Business
- Productive Efficiency
- Professional Ethics
- Profit Maximization, Corporate Social Responsibility as
- Profits
- Property and Property Rights
- Public Choice Theory
- Public Interest
- Rational Choice Theory
- Regulation and Regulatory Agencies
- Religiously Motivated Investing
- Resource Allocation
- Roles and Role Morality
- Sarbanes-Oxley Act of 2002
- Scandals, Corporate
- Self-Regulation
- Servant Leadership
- Shareholder Activism
- Shareholder Model of Corporate Governance
- Shareholder Resolutions
- Shareholder Wealth Maximization
- Small Business Ethics
- Smith, Adam
- Social Contract Theory
- Social Efficiency
- Spontaneous Order
- Stakeholder Economy
- Stakeholder Engagement
- Stakeholder Responsibility
- Stakeholder Theory
- Statism
- Strategic Planning
- Tawney, Richard Henry
- Transparency, Market
- Trilateral Commission
- Trustees
- United Nations Environment Programme (UNEP)
- Veblen, Thorstein
- Virtual Corporation
- Virtue and Leadership
- Wealth
- Wealth Creation
- Weber, Max
- Work-Life Balance
- World Economic Forum
- Corporations in the Social Sphere
- Chaebol
- Accounting, Ethics of
- Advertising Ethics
- Advertising, Subliminal
- Advisory Panels and Committees
- Affirmative Action
- Age Discrimination
- Agrarianism
- Altruism
- Animal Rights
- Arms Trade
- Arrow, Kenneth
- Aspen Institute's Business and Society Program
- Bait-and-Switch Practices
- Benefits, Employee
- Benevolence and Beneficence
- Bilderberg Group
- Bluffing and Deception in Negotiations
- Bottom of the Pyramid
- Boycotts
- Brands
- Business Judgment Rule
- Business, Purpose of
- Campaign Finance Laws
- Capabilities Approach to Distributive Justice
- Cartels
- Charity, Duty of
- Chief Compliance/Ethics Officer (CCO)
- Child Labor
- Children, Marketing to
- Codes of Conduct, Ethical and Professional
- Coercion
- Collusion
- Commerce and the Arts
- Commodification
- Commonsense Morality
- Comparable Worth
- Competition
- Confidentiality Agreements
- Conflict of Interest
- Conscience
- Consent
- Conspicuous Consumption
- Consumer Rights
- Consumer's Bill of Rights
- Consumerism
- Corporate Citizenship
- Corporate Ecology
- Corporate Ethics and Compliance Programs
- Corporate Governance
- Corporate Issues Management
- Corporate Moral Agency
- Corporate Philanthropy
- Corporate Political Advocacy
- Corporate Public Affairs
- Corporate Rights and Personhood
- Corporate Social Financial Performance
- Corporate Social Responsibility (CSR) and Corporate Social Performance (CSP)
- Corporate Social Responsiveness
- Corruption
- Cost-Benefit Analysis
- Council on Foreign Relations
- Cowboy Capitalism
- Crisis Management
- Deceptive Advertising
- Deceptive Practices
- Developing Countries, Business Ethics in
- Dignity
- Dilemmas, Ethical
- Disability Discrimination
- Diversity in the Workplace
- Divestment
- Downsizing
- Duty
- Empathy
- Employee Assistance Programs
- Employee Monitoring and Surveillance
- Employee Relations
- Employee Rights Movement
- Employment Contracts
- Employment Discrimination
- Empowerment
- Entrepreneurship, Ethics of
- Equal Employment Opportunity
- Equality
- Ethical Culture and Climate
- Ethical Role of the Manager
- Ethics of Care
- Ethics Training Programs
- European Union Directive on Privacy and Electronic Communications
- Executive Compensation
- Exploitation
- Extortion
- Fairness
- Family-Friendly Corporation
- Fidelity
- Fiduciary Duty
- Financial Services Industry
- Fraud
- Free Riders
- Free Speech in the Workplace
- Freedom and Liberty
- Friedman, Milton
- Game Theory
- Gay Rights
- Gender Inequality and Discrimination
- Genetic Information in the Workplace
- Glass Ceiling
- Global Business Citizenship
- Global Codes of Conduct
- Global Reporting Initiative
- Golden Parachutes
- Green Values
- Greenwashing
- Hayek, Friedrich A.
- Health Insurance Portability and Accountability Act
- Hewlett-Packard
- Honesty
- Hostile Work Environment
- Hume, David
- Impartiality
- In-Kind Contributions
- Individualism
- Informed Consent
- Insider Trading
- Integrity
- Intellectual Property
- Internal Audit
- International Business Ethics
- Iron Triangles
- Job Security
- Just Price
- Kohlberg, Lawrence
- Labor Unions
- Laissez-Faire
- Leadership
- Lemon Laws
- Living Wage
- Loyalty
- Management, Ethics of
- Mandeville, Bernard
- Manipulation, Financial
- Marketing, Ethics of
- Marx, Karl
- Meaningful Work
- Mentoring
- Meritocracy
- Minimum Wage
- Minorities
- Multinational Corporations (MNCs)
- National Association of Securities Dealers (NASD)
- Negligence
- Negotiation and Bargaining
- Networking
- Ombudsperson
- Open-Book Management
- Organizational Moral Distress
- Outsourcing
- Participatory Management
- Paternalism
- Patriarchy
- Pensions
- Piracy of Intellectual Property
- Pollution
- Power, Business
- Predatory Pricing and Trading
- Preferential Treatment
- Pretexting
- Price Discrimination
- Price-Fixing
- Pricing, Ethical Issues in
- Privacy
- Procedural Justice: Social Science Perspectives
- Product Liability
- Professional Ethics
- Profit Maximization, Corporate Social Responsibility as
- Profits
- Promises
- Public Relations
- Racial Discrimination
- Recalls, Voluntary
- Recycling
- Regulation and Regulatory Agencies
- Religious Discrimination
- Religiously Motivated Investing
- Reputation Management
- Restraint of Trade
- Reverse Discrimination
- Role Model
- Roles and Role Morality
- Satisficing
- Scandals, Corporate
- Self-Realization
- Self-Regulation
- Servant Leadership
- Sexual Harassment
- Shame
- Shareholder Model of Corporate Governance
- Shareholder Wealth Maximization
- Shareholders
- Slavery
- Small Business Ethics
- Smith, Adam
- Social Accountability (SA)
- Social Audits
- Social Contract Theory
- Social Entrepreneurship
- Spontaneous Order
- Stakeholder Economy
- Stakeholder Engagement
- Stakeholder Responsibility
- Stakeholder Theory
- Strategic Corporate Social Responsibility
- Strategic Philanthropy
- Strategy and Ethics
- Stress, Job
- Sweatshops
- Tawney, Richard Henry
- Teleopathy
- Transparency, Market
- Trilateral Commission
- Triple Bottom Line
- Trust
- Truth Telling
- Unemployment
- United Nations Environment Programme (UNEP)
- Values, Personal
- Veblen, Thorstein
- Vice
- Violence in the Workplace
- Virtue
- Virtue and Leadership
- Volunteerism
- Wages for Housework
- Warranties
- Wealth Creation
- Weber, Max
- Whistle-Blowing
- Women in the Workplace
- Women's Movement
- Work and Family
- Work-Life Balance
- Working Conditions
- Workplace Privacy
- World Economic Forum
- Customers and Consumers
- Adverse Selection
- Advertising Ethics
- Advertising, Subliminal
- Age Discrimination
- Agency, Theory of
- Americans with Disabilities Act of 1990 (ADA)
- Antitrust Laws
- Bait-and-Switch Practices
- Bankruptcy, Ethical Issues in
- Barter
- Better Business Bureau (BBB)
- Black Market
- Blue Sky Laws
- Bluffing and Deception in Negotiations
- Boycotts
- Brands
- Business Ethics and Health Care
- Business Law
- Business, Purpose of
- Cartels
- Child Safety Legislation
- Children, Marketing to
- Churning
- Civil Rights
- Common Law
- Community Reinvestment Act of 1977 (CRA)
- Competition
- Conflict of Interest
- Conspicuous Consumption
- Consumer Activism
- Consumer Fraud
- Consumer Goods
- Consumer Preferences
- Consumer Product Safety Commission
- Consumer Protection Legislation
- Consumer Rights
- Consumer Sovereignty
- Consumer's Bill of Rights
- Consumerism
- Contracts
- Corporate Citizenship
- Corporate Social Responsibility (CSR) and Corporate Social Performance (CSP)
- Cost-Benefit Analysis
- Deceptive Advertising
- Deceptive Practices
- Deregulation
- Disability Discrimination
- Due Diligence
- Dumping
- Economics, Behavioral
- Ethical Role of the Manager
- Ethics and the Tobacco Industry
- Ethics of Care
- Ethics of Persuasion
- European Union Directive on Privacy and Electronic Communications
- Exploitation
- Fairness
- Federal Trade Commission (FTC)
- Feminist Theory
- Fiduciary Duty
- Food and Drug Safety Legislation
- Ford Pinto
- Fraud
- Free Market
- Freedom of Contract
- Gay Rights
- Herfindahl Index
- Honesty
- Human Rights
- Implied Warranties
- Industrial Policy
- Laissez-Faire
- Legal Rights
- Lemon Laws
- Loyalty
- Manipulation, Financial
- Market for Lemons
- Market Power
- Marketing, Ethics of
- Mergers, Acquisitions, and Takeovers
- Minorities
- Monopolies, Duopolies, and Oligopolies
- National Origin Discrimination
- National Traffic and Motor Vehicle Safety Act
- Negotiation and Bargaining
- Paternalism
- Patients' Bill of Rights
- Persuasive Advertising, Ethics of
- Pollution
- Ponzi Scheme
- Predatory Pricing and Trading
- Preferential Treatment
- Price Discrimination
- Price-Fixing
- Pricing, Ethical Issues in
- Privacy
- Procedural Justice: Social Science Perspectives
- Product Liability
- Profits
- Promises
- Public Interest
- Racial Discrimination
- Recalls, Voluntary
- Regulation and Regulatory Agencies
- Rent Control
- Rents, Economic
- Reputation Management
- Rights, Theories of
- Scandals, Corporate
- Securities and Exchange Commission (SEC)
- Sexual Harassment
- Social Contract Theory
- Social Ethics
- Soft Dollar Brokerage
- Stakeholder Economy
- Stakeholder Engagement
- Stakeholder Responsibility
- Stakeholder Theory
- Stewardship
- Surplus, Consumer and Producer
- Sweatshops
- Truth Telling
- U.S. Food and Drug Administration (FDA)
- Underground Economy
- Unfair Competition
- Veblen, Thorstein
- Warranties
- Winner's Curse
- Economics and Business
- Chaebol
- Adverse Selection
- Agency, Theory of
- Airline Deregulation
- Antitrust Laws
- Arbitrage
- Arrow, Kenneth
- Arrow's Impossibility Theorem
- Asymmetric Information
- Auction Market
- Austrian School of Economics
- Bankruptcy, Ethical Issues in
- Barriers to Entry and Exit
- Barter
- Bayesian Approach
- Black Market
- Blue Sky Laws
- Bretton Woods Institutions
- Business, Purpose of
- Campaign Finance Laws
- Capitalism
- Cartels
- CFA Institute
- Chicago School of Economics
- Coase Theorem
- Collective Choice
- Colonialism
- Commodity Futures Trading Commission
- Communism
- Comparable Worth
- Comparative Advantage
- Competition
- Comptroller of the Currency
- Consumer Goods
- Consumer Preferences
- Consumer Sovereignty
- Consumerism
- Consumption Taxes
- Contingent Valuation
- Contracts
- Corporate Average Fuel Economy (CAFE) Standards
- Corporate Democracy Act
- Corporate Governance
- Corporate Rights and Personhood
- Cost-Benefit Analysis
- Council of Economic Advisers
- Council on Foreign Relations
- Cowboy Capitalism
- Cross-Subsidization
- Deadweight Loss
- Deferred Compensation Plans
- Deregulation
- Development Economics
- Discounting the Future
- Double Taxation
- Downsizing
- Dumping
- Economic Efficiency
- Economic Growth
- Economic Incentives
- Economic Rationality
- Economic Recovery Tax Act (ERTA)
- Economics and Ethics
- Economics of Well-Being (Post-Welfarist Economics)
- Economics, Behavioral
- Economies of Scale
- Efficient Markets, Theory of
- Electronic Commerce
- Eminent Domain
- Emissions Trading
- Employee Retirement Income Security Act of 1974 (ERISA)
- Employee Stock Ownership Plans (ESOPs)
- Employment Contracts
- Equal Pay Act of 1963
- Equilibrium
- Executive Compensation
- Expected Utility
- Exploitation
- Export-Import Bank
- Externalities
- Federal Deposit Insurance Corporation (FDIC)
- Federal Reserve System
- Federal Trade Commission (FTC)
- Finance, Ethics of
- Financial Accounting Standards Board (FASB)
- Financial Derivatives
- Financial Services Industry
- Flat Tax
- Foreign Direct Investment (FDI)
- Free Market
- Free Riders
- Free Trade, Free Trade Agreements, Free Trade Zones
- Freedom of Contract
- Friedman, Milton
- Game Theory
- Globalization
- Golden Parachutes
- Government Accountability Office (GAO)
- Great Depression
- Gross Domestic Product (GDP)
- Gross National Product (GNP)
- Hayek, Friedrich A.
- Herfindahl Index
- Human Capital
- Human Nature
- Implied Warranties
- Incentive Compatibility
- Incipiency Doctrine
- Income Distribution
- Industrial Policy
- Industrial Revolution
- Inflation
- Information Costs
- Insider Trading
- Intellectual Capital
- Intellectual Property
- Intergenerational Equity
- Internal Revenue Service (IRS)
- International Monetary Fund (IMF)
- International Trade
- Interpersonal Comparison of Utility
- Interstate Commerce Commission (ICC)
- Invisible Hand
- Job Security
- Just Price
- Just Wage
- Justice, Theories of
- Labor Unions
- Laissez-Faire
- Legal Rights
- Lemon Laws
- Leveraged Buyouts
- Liberalism
- Libertarianism
- Life Settlements
- Living Wage
- Managed Competition
- Mandeville, Bernard
- Manipulation, Financial
- Marginal Utility
- Market Bubbles
- Market Failure
- Market for Corporate Control
- Market for Lemons
- Market Power
- Market Socialism
- Marx, Karl
- Marxism
- Maximum Sustainable Yield
- Mergers, Acquisitions, and Takeovers
- Methodological Individualism
- Minimum Wage
- Mixed Economy
- Monetary Policy
- Monopolies, Duopolies, and Oligopolies
- Monopsony
- Moral Hazard
- Most Favoured Nation Status
- Motives and Self-Interest
- Multinational Corporations (MNCs)
- Nash Equilibrium
- National Labor Relations Board
- Nationalization
- Natural Assets (Nonuse Values)
- Natural Capital
- Natural Resources
- Neoconservatism
- Net Present Value
- North American Free Trade Agreement (NAFTA)
- Opportunity Cost
- Organisation for Economic Co-operation and Development (OECD)
- Outsourcing
- Pareto Efficiency
- Pareto, Vilfredo
- Partial Equilibrium
- Pension Benefit Guaranty Corporation (PBGC)
- Pensions
- Perfect Markets and Market Imperfections
- Political Economy
- Pollution Externalities, Socially Efficient Regulation of
- Pollution Right
- Population Growth
- Positive Economics
- Positivism
- Poverty
- Predatory Pricing and Trading
- Preferential Treatment
- Price Discrimination
- Price-Fixing
- Pricing, Ethical Issues in
- Prisoner's Dilemma
- Private Good
- Privatization
- Productive Efficiency
- Profits
- Property and Property Rights
- Protestant Work Ethic
- Public Choice Theory
- Public Company Accounting Oversight Board
- Public Domain
- Public Goods
- Public Utilities and Their Regulation
- Rational Choice Theory
- Rationality
- Rationality and Ethics
- Reciprocal Altruism
- Redistribution of Wealth
- Reductionism
- Regressive Tax
- Regulation and Regulatory Agencies
- Rent Control
- Rents, Economic
- Resource Allocation
- Restraint of Trade
- Revealed Preference
- Right to Work
- Sarbanes-Oxley Act of 2002
- Securities and Exchange Commission (SEC)
- Self-Interest
- Self-Ownership
- Self-Regulation
- Shareholder Model of Corporate Governance
- Shareholder Wealth Maximization
- Shareholders
- Side Payments
- Signaling
- Slavery
- Smith, Adam
- Social Capital
- Social Costs
- Social Discount Rate
- Social Efficiency
- Social Engineering
- Social Ethics
- Social Investment Forum
- Socialism
- Socially Responsible Investing (SRI)
- Speculation and Speculator
- Spontaneous Order
- Stakeholder Economy
- Stakeholder Theory
- Strategy and Ethics
- Subsidies
- Supply-Side Economics
- Surplus, Consumer and Producer
- Tariffs and Quotas
- Tax Ethics
- Tax Havens
- Tax Incentives
- Tax Incidence
- Trade Balance
- Transaction Costs
- Transfer Pricing
- Transparency, Market
- Trilateral Commission
- U.S. Bureau of Economic Analysis
- Underground Economy
- Unemployment
- Unfair Competition
- Unintended Consequences, Law of
- United Nations Environment Programme (UNEP)
- Utility
- Utility, Principle of
- Von Neumann-Morgenstern Utility Function
- Wage-and-Price Controls
- Wages for Housework
- Warranties
- Wealth
- Wealth Creation
- Welfare Economics
- Winner's Curse
- Work Ethic
- World Bank
- World Economic Forum
- World Trade Organization (WTO)
- Employee Issues
- Adverse Selection
- Affirmative Action
- AFL-CIO
- Age Discrimination
- Agency, Theory of
- American Federation of State, County and Municipal Employees
- Americans with Disabilities Act of 1990 (ADA)
- Benefits, Employee
- Business Law
- Child Labor
- Civil Rights
- Coercion
- Common Law
- Comparable Worth
- Conflict of Interest
- Corporate Citizenship
- Corporate Social Responsibility (CSR) and Corporate Social Performance (CSP)
- Deferred Compensation Plans
- Disability Discrimination
- Diversity in the Workplace
- Downsizing
- Due Process
- Economics, Behavioral
- Employee Assistance Programs
- Employee Monitoring and Surveillance
- Employee Protection and Workplace Safety Legislation
- Employee Relations
- Employee Rights Movement
- Employment Contracts
- Employment Discrimination
- Entitlements
- Equal Employment Opportunity
- Equal Opportunity
- Ethical Role of the Manager
- Ethics of Care
- Ethics of Persuasion
- European Union Directive on Privacy and Electronic Communications
- Executive Compensation
- Exploitation
- Extortion
- Fair Labor Association (FLA)
- Fairness
- Family-Friendly Corporation
- Feminist Theory
- Free Riders
- Free Speech in the Workplace
- Freedom and Liberty
- Freedom of Contract
- Gay Rights
- Gender Inequality and Discrimination
- Genetic Information in the Workplace
- Glass Ceiling
- Golden Parachutes
- Honesty
- Hostile Work Environment
- Human Rights
- Impartiality
- Incentive Compatibility
- Insider Trading
- Intergenerational Equity
- Job Security
- Just Wage
- Labor Unions
- Living Wage
- Loyalty
- Maquiladoras
- Meaningful Work
- Mentoring
- Meritocracy
- Minimum Wage
- Minorities
- National Origin Discrimination
- Negotiation and Bargaining
- Ombudsperson
- Outsourcing
- Participatory Management
- Paternalism
- Patriarchy
- Pension Benefit Guaranty Corporation (PBGC)
- Pensions
- Preferential Treatment
- Privacy
- Procedural Justice: Social Science Perspectives
- Promises
- Racial Discrimination
- Religious Discrimination
- Reverse Discrimination
- Right to Work
- Rights, Theories of
- Role Model
- Scandals, Corporate
- Self-Interest
- Self-Realization
- Sexual Harassment
- Slavery
- Social Ethics
- Stakeholder Economy
- Stakeholder Engagement
- Stakeholder Responsibility
- Stakeholder Theory
- Stewardship
- Stress, Job
- Sweatshops
- Trade Secrets, Corporate Espionage and
- Truth Telling
- Unemployment
- Violence in the Workplace
- Volunteerism
- Whistle-Blowing
- Women in the Workplace
- Women's Movement
- Work-Life Balance
- Working Conditions
- Workplace Privacy
- Environmental Thought, Theory, Regulation, and Legislation
- Acid Rain
- Agrarianism
- Animal Rights
- Animal Rights Movement
- Anthropocentrism
- Biocentrism
- Biodiversity
- Bioethics
- Birth Control
- Business Law
- Commons, The
- Darwinism and Ethics
- Deep Ecology
- Developing Countries, Business Ethics in
- Developing World
- Doha Development Round of 2001
- Economic Growth
- Emissions Trading
- Environmental Colonialism
- Environmental Ethics
- Environmental Protection Legislation and Regulation
- Environmentalism
- Gaia Hypothesis
- Genetic Engineering
- Genetics and Ethics
- Global Business Environments
- Globalization
- Green Revolution
- Green Values
- Greenhouse Effect
- Human Genome Project
- International Business Ethics
- International Trade
- Kyoto Protocol
- Land Ethic
- Montreal Protocol
- Multiculturalism
- Natural Resources
- Natural Resources Defense Council
- Nuclear Regulatory Commission
- Ozone Depletion
- Pollution
- Pollution Externalities, Socially Efficient Regulation of
- Pollution Right
- Social Costs
- Speciesism
- Stem Cell Research
- Sustainability
- United Nations Global Compact
- Wilderness
- World Trade Organization (WTO)
- Ethical Thought and Theory
- Absolutism, Ethical
- African Business Ethics
- Agency, Theory of
- Agrarianism
- Altruism
- Amorality
- Anarchism
- Animal Rights
- Anthropocentrism
- Arendt, Hannah
- Aristotle
- Arrow, Kenneth
- Authenticity
- Authority
- Autonomy
- Benevolence and Beneficence
- Biocentrism
- Bioethics
- Business Ethics and Health Care
- Business, Purpose of
- Capabilities Approach
- Capabilities Approach to Distributive Justice
- Casuistry
- Charity, Duty of
- Child Labor
- Civil Rights
- Coercion
- Cognitive Moral Development
- Cognitivism and Ethics
- Collusion
- Colonialism
- Commensurability
- Common Law
- Commonsense Morality
- Communitarianism
- Commutative Theory of Justice
- Conflict of Interest
- Conscience
- Consent
- Consequentialist Ethical Systems
- Contracts
- Corruption
- Cultural Imperialism
- Darwinism and Ethics
- Decision-Making Models
- Deontological Ethical Systems
- Descriptive Ethics
- Desert
- Dignity
- Dilemmas, Ethical
- Discounting the Future
- Divine Command Theory
- Doctrine of Double Effect
- Due Care Theory
- Due Process
- Duty
- Economics and Ethics
- Egalitarianism
- Egoism
- Empathy
- Empowerment
- Entitlements
- Environmental Ethics
- Environmentalism
- Envy-Free Theory
- Equal Opportunity
- Equal Sacrifice Theory
- Equality
- Ethical Decision Making
- Ethical Imperialism
- Ethical Naturalism
- Ethical Nihilism
- Ethical Role of the Manager
- Ethics of Care
- Ethics of Dialogue
- Ethics, Theories of
- Existentialism
- Extortion
- Fact-Value Distinction
- Fairness
- Feminist Ethics
- Feminist Theory
- Ferguson, Adam
- Fidelity
- Free Will
- Freedom and Liberty
- Friedman, Milton
- Gender Inequality and Discrimination
- Genetics and Ethics
- George, Henry
- Golden Rule, The
- Goodwill
- Hayek, Friedrich A.
- Hedonism, Ethical
- Hedonism, Psychological
- Hobbes, Thomas
- Honesty
- Human Nature
- Human Rights
- Hume, David
- Ideal Observer Theory
- Impartiality
- Individualism
- Instrumental Value
- Integrity
- Intergenerational Equity
- Interpersonal Comparison of Utility
- Intrinsic Value
- Intuitionism
- Is-Ought Problem
- Justice, Compensatory
- Justice, Distributive
- Justice, Retributive
- Justice, Theories of
- Kant, Immanuel
- Kantian Ethics
- Land Ethic
- Legal Rights
- Liberalism
- Libertarianism
- Locke, John
- Loyalty
- MacIntyre, Alasdair
- Majoritarianism
- Mandeville, Bernard
- Marx, Karl
- Meritocracy
- Metaethics
- Methodological Individualism
- Mill, John Stuart
- Moral Agency
- Moral Distress
- Moral Education
- Moral Imagination
- Moral Luck
- Moral Point of View
- Moral Principle
- Moral Realism
- Moral Reasoning
- Moral Rules
- Moral Sentimentalism
- Moral Standing
- Morality, Public and Private
- Motives and Self-Interest
- Natural Business Ethics
- Natural Law Ethical Theory
- Naturalistic Fallacy
- Negligence
- Negotiation and Bargaining
- Neo-Kantian Ethics
- Nihilism
- Noncognitivism
- Normative Ethics
- Normative Theory Versus Positive Theory
- Normative/Descriptive Distinction
- Nozick's Theory of Justice
- Objectivism
- Other-Regardingness
- Ought Implies Can
- Pareto, Vilfredo
- Paternalism
- Patriarchy
- Pluralism
- Political Theory
- Pollution
- Positivism
- Postmodernism
- Pragmatism
- Primary Goods
- Privacy
- Procedural Justice: Philosophical Perspectives
- Procedural Justice: Social Science Perspectives
- Promises
- Property and Property Rights
- Prudence
- Rand, Ayn
- Rationality
- Rationality and Ethics
- Rawls, John
- Rawls's Theory of Justice
- Reciprocal Altruism
- Redistribution of Wealth
- Reductionism
- Relativism, Cultural
- Relativism, Moral
- Rights, Theories of
- Self-Consciousness
- Self-Deception
- Self-Interest
- Self-Ownership
- Self-Realization
- Self-Regardingness
- Self-Respect
- Sexual Harassment
- Shame
- Side-Constraints
- Sidgwick, Henry
- Situation Ethics
- Slavery
- Slippery Slope Argument
- Smith, Adam
- Social Contract Theory
- Spencer, Herbert
- Statism
- Supererogation
- Tawney, Richard Henry
- Trust
- Truth Telling
- Universalizability, Principle of
- Utilitarianism
- Utility
- Utility, Principle of
- Values, Personal
- Veblen, Thorstein
- Vice
- Virtue
- Virtue and Leadership
- Virtue Ethics
- Voluntarism
- Well-Being
- Finance
- Agency, Theory of
- Arbitrage
- Arrow, Kenneth
- Asymmetric Information
- Auction Market
- Bankers' Trust
- Bankruptcy, Ethical Issues in
- Barings Bank
- Barter
- Berle-Dodd Debate
- Blue Sky Laws
- Boesky, Ivan
- Bretton Woods Institutions
- CFA Institute
- Chicago School of Economics
- Chief Compliance/Ethics Officer (CCO)
- Chief Financial Officer (CFO)
- Churning
- Commodity Futures Trading Commission
- Community Reinvestment Act of 1977 (CRA)
- Comptroller of the Currency
- Conflict of Interest
- Consumer Rights
- Consumer's Bill of Rights
- Contingent Valuation
- Cost-Benefit Analysis
- Deceptive Advertising
- Deceptive Practices
- Deferred Compensation Plans
- Disclosure
- Discounting the Future
- Domini Social Investments
- Due Diligence
- Economics and Ethics
- Economics, Behavioral
- Economies of Scale
- Efficient Markets, Theory of
- Employee Retirement Income Security Act of 1974 (ERISA)
- Employee Stock Ownership Plans (ESOPs)
- Entrepreneurship, Ethics of
- Export-Import Bank
- Federal Deposit Insurance Corporation (FDIC)
- Federal Reserve System
- Fiduciary Duty
- Fiduciary Norm
- Finance, Ethics of
- Financial Accounting Standards Board (FASB)
- Financial Derivatives
- Financial Services Industry
- Foreign Corrupt Practices Act of 1977 (FCPA)
- Foreign Direct Investment (FDI)
- Fraud
- Free Market
- Free Riders
- Free Trade, Free Trade Agreements, Free Trade Zones
- Friedman, Milton
- Gambling
- Great Depression
- Hedge Funds
- Human Capital
- Incentive Compatibility
- Individual Retirement Accounts (IRAs)
- Information Costs
- Insider Trading
- Intergenerational Equity
- International Monetary Fund (IMF)
- Leveraged Buyouts
- Life Settlements
- Long-Term Capital Management
- Manipulation, Financial
- Market Bubbles
- Market Failure
- Market for Lemons
- Marx, Karl
- Maximum Sustainable Yield
- Mergers, Acquisitions, and Takeovers
- Metallgesellschaft
- Milken, Michael Robert
- National Association of Securities Dealers (NASD)
- Net Present Value
- Opportunity Cost
- Pension Benefit Guaranty Corporation (PBGC)
- Pensions
- Perfect Markets and Market Imperfections
- Ponzi Scheme
- Predatory Pricing and Trading
- Pricing, Ethical Issues in
- Privacy
- Profit Maximization, Corporate Social Responsibility as
- Profits
- Prudent Investor Rule
- Reasonable Person Standard
- Regulation and Regulatory Agencies
- Religiously Motivated Investing
- Risk Retention Act of 1981
- Rousseau, Jean-Jacques
- Sarbanes-Oxley Act of 2002
- Savings and Loan Scandal
- Securities and Exchange Commission (SEC)
- Securities Industry Association
- Security Industry Association
- Shareholder Activism
- Shareholder Model of Corporate Governance
- Shareholder Resolutions
- Shareholder Wealth Maximization
- Shareholders
- Side Payments
- Signaling
- Smith, Adam
- Social Discount Rate
- Social Investment Forum
- Socially Responsible Investing (SRI)
- Soft Dollar Brokerage
- Speculation and Speculator
- Stakeholder Economy
- Stewart, Martha
- Transaction Costs
- Transfer Pricing
- Transparency
- Transparency, Market
- Triple Bottom Line
- Trustees
- Vatican Bank
- Wealth
- Wealth Creation
- Winner's Curse
- World Bank
- Gender, Age, Ethnicity, Diversity, and Sexual Orientation
- Adverse Selection
- Affirmative Action
- Age Discrimination
- Agriculture, Ethics of
- Alien Tort Claims Act
- American Civil Liberties Union (ACLU)
- Americans with Disabilities Act of 1990 (ADA)
- Birth Control
- Child Labor
- Civil Rights
- Codes of Conduct, Ethical and Professional
- Comparable Worth
- Diversity in the Workplace
- Due Process
- Employee Rights Movement
- Employment Contracts
- Employment Discrimination
- Entitlements
- Equal Employment Opportunity
- Equal Opportunity
- Equality
- Ethical Role of the Manager
- Ethics of Care
- Exploitation
- Fairness
- Family-Friendly Corporation
- Feminist Ethics
- Feminist Theory
- Freedom and Liberty
- Gay Rights
- Gender Inequality and Discrimination
- Genetic Information in the Workplace
- Glass Ceiling
- Hostile Work Environment
- Human Rights
- Impartiality
- Individualism
- Job Security
- Just Wage
- Kohlberg, Lawrence
- Legal Rights
- Lesbian Ethics
- Living Wage
- Maternal Ethics
- Meritocracy
- Minimum Wage
- Minorities
- Multiculturalism
- National Origin Discrimination
- Paternalism
- Patriarchy
- Pornography
- Preferential Treatment
- Racial Discrimination
- Religious Discrimination
- Reverse Discrimination
- Right to Work
- Rights, Theories of
- Self-Ownership
- Sexual Harassment
- Slavery
- Social Engineering
- Social Ethics
- Stewardship
- Violence in the Workplace
- Wages for Housework
- Women in the Workplace
- Women's Movement
- Work and Family
- Work-Life Balance
- Information Systems
- Association for Computing Machinery (ACM)
- Chief Compliance/Ethics Officer (CCO)
- Chief Privacy Officer (CPO)
- Computing, Ethical Issues in
- Consumer Rights
- Consumer's Bill of Rights
- Decision-Making Models
- Electronic Commerce
- Electronic Surveillance
- Employee Monitoring and Surveillance
- Entrepreneurship, Ethics of
- European Union Directive on Privacy and Electronic Communications
- Freedom of Information Act of 1966 (FOIA)
- Identity Theft
- Information Costs
- Internet and Computing Legislation
- Privacy
- Telecommunications Act of 1996
- Total Quality Management (TQM)
- Trade Secrets, Corporate Espionage and
- Transparency
- U.S. Bureau of the Census
- Workplace Privacy
- International Social and Ethical Issues
- Chaebol
- African Business Ethics
- AIDS, Social and Ethical Implications for Business
- Airline Deregulation
- Arms Trade
- Aspen Institute's Business and Society Program
- Austrian School of Economics
- Bank of Credit and Commerce International (BCCI)
- Barings Bank
- Bhopal
- Bilderberg Group
- Biodiversity
- Bottom of the Pyramid
- Bretton Woods Institutions
- Buddhist Ethics
- Capabilities Approach
- Capitalism
- Caux Principles
- Chernobyl
- Christian Ethics
- Clarkson Principles for Business
- Colonialism
- Commons, The
- Confucianism
- Council on Foreign Relations
- Cross-Cultural Consumer Marketing
- Cultural Imperialism
- Developing Countries, Business Ethics in
- Developing World
- Development Economics
- Divestment
- Doha Development Round of 2001
- Dumping
- Environmental Colonialism
- Ethical Imperialism
- European Union
- Export Trading Company Act of 1982
- Export-Import Bank
- Fair Labor Association (FLA)
- Foreign Corrupt Practices Act of 1977 (FCPA)
- Foreign Direct Investment (FDI)
- Free Trade, Free Trade Agreements, Free Trade Zones
- Gaia Hypothesis
- Global Business Environments
- Global Codes of Conduct
- Global Reporting Initiative
- Globalization
- Green Revolution
- Greenhouse Effect
- Human Genome Project
- Human Rights
- Immigration Policy
- Immigration Reform and Control Act of 1986
- Industrial Revolution
- International Business Ethics
- International Labour Organization (ILO)
- International Monetary Fund (IMF)
- International Organization for Standardization (ISO)
- Islamic Ethics
- Jainist Ethics
- Jewish Ethics
- Kyoto Protocol
- Labor Unions
- Living Wage
- Maquiladoras
- Metallgesellschaft
- Montreal Protocol
- Most Favoured Nation Status
- Multiculturalism
- Multinational Corporations (MNCs)
- Multinational Marketing
- National Origin Discrimination
- Nationalization
- Newly Industrialized Countries (NICs)
- NIMBY (Not in My Backyard) Phenomenon
- Nongovernmental Organizations (NGOs)
- North American Free Trade Agreement (NAFTA)
- Organisation for Economic Co-operation and Development (OECD)
- Organization of Petroleum Exporting Countries (OPEC)
- Ozone Depletion
- Parmalat
- Piracy of Intellectual Property
- Pollution
- Population Growth
- Property and Property Rights
- Religious Discrimination
- Royal Ahold Company
- Single European Act (SEA)
- Sweatshops
- Taoist Ethics
- Tariffs and Quotas
- Tax Havens
- Trade Balance
- Transparency International
- United Nations
- United Nations Global Compact
- Vatican Bank
- Worker Rights Consortium (WRC)
- World Bank
- World Health Organization (WHO)
- World Resources Institute (WRI)
- World Trade Organization (WTO)
- World Wildlife Fund
- Justice
- Adverse Selection
- Affirmative Action
- African Business Ethics
- Age Discrimination
- Agency, Theory of
- Airline Deregulation
- Animal Rights
- Antitrust Laws
- Aristotle
- Arms Trade
- Arrow's Impossibility Theorem
- Austrian School of Economics
- Barriers to Entry and Exit
- Bayesian Approach
- Benefits, Employee
- Bottom of the Pyramid
- Business Law
- Capabilities Approach
- Capabilities Approach to Distributive Justice
- Capitalism
- Cartels
- Charity, Duty of
- Chicago School of Economics
- Child Labor
- Civil Rights
- Collective Choice
- Collusion
- Colonialism
- Common Law
- Commons, The
- Communism
- Communitarianism
- Commutative Theory of Justice
- Comparable Worth
- Comparative Advantage
- Compensatory Damages
- Competition
- Conflict of Interest
- Consequentialist Ethical Systems
- Consumer Goods
- Consumer Preferences
- Consumerism
- Consumption Taxes
- Contracts
- Corporate Governance
- Corporate Philanthropy
- Cost-Benefit Analysis
- Cross-Subsidization
- Cultural Imperialism
- Deadweight Loss
- Decision-Making Models
- Deontological Ethical Systems
- Deregulation
- Desert
- Developing World
- Development Economics
- Digital Divide
- Disclosure
- Diversity in the Workplace
- Divestment
- Double Taxation
- Due Process
- Dumping
- Economic Efficiency
- Economic Growth
- Economic Incentives
- Economic Rationality
- Economics and Ethics
- Economics of Well-Being (Post-Welfarist Economics)
- Egalitarianism
- Eminent Domain
- Emissions Trading
- Employment Contracts
- Employment Discrimination
- Entitlements
- Environmental Protection Legislation and Regulation
- Equal Employment Opportunity
- Equal Opportunity
- Equal Sacrifice Theory
- Equality
- Equilibrium
- Ethical Imperialism
- Ethics of Care
- European Union Directive on Privacy and Electronic Communications
- Executive Compensation
- Expected Utility
- Exploitation
- Externalities
- Extortion
- Fairness
- Federal Sentencing Guidelines
- Feminist Theory
- Ferguson, Adam
- Flat Tax
- Free Market
- Free Riders
- Freedom and Liberty
- Freedom of Contract
- Friedman, Milton
- Game Theory
- Gender Inequality and Discrimination
- George, Henry
- Globalization
- Golden Rule, The
- Gross Domestic Product (GDP)
- Gross National Product (GNP)
- Hayek, Friedrich A.
- Herfindahl Index
- Hobbes, Thomas
- Human Capital
- Human Nature
- Human Rights
- Impartiality
- Incentive Compatibility
- Incipiency Doctrine
- Income Distribution
- Individualism
- Industrial Policy
- Industrial Revolution
- Inflation
- Information Costs
- Intellectual Capital
- Intellectual Property
- International Trade
- Interpersonal Comparison of Utility
- Invisible Hand
- Job Security
- Just Price
- Just Wage
- Justice, Compensatory
- Justice, Distributive
- Justice, Retributive
- Justice, Theories of
- Kant, Immanuel
- Labor Unions
- Laissez-Faire
- Legal Ethics
- Legal Rights
- Lemon Laws
- Lesbian Ethics
- Leveraged Buyouts
- Liberalism
- Libertarianism
- Litigation, Civil
- Living Wage
- Locke, John
- Machiavellianism
- MacIntyre, Alasdair
- Majoritarianism
- Managed Competition
- Mandeville, Bernard
- Marginal Utility
- Market Failure
- Market for Lemons
- Market Power
- Market Socialism
- Marx, Karl
- Marxism
- Meaningful Work
- Mergers, Acquisitions, and Takeovers
- Meritocracy
- Mill, John Stuart
- Minimum Wage
- Mixed Economy
- Monetary Policy
- Monopolies, Duopolies, and Oligopolies
- Monopsony
- Moral Hazard
- Moral Luck
- Moral Principle
- Morality, Public and Private
- Motives and Self-Interest
- Nash Equilibrium
- Nationalization
- Natural Law Ethical Theory
- Negotiation and Bargaining
- Neoconservatism
- Net Present Value
- Nozick's Theory of Justice
- Objectivism
- Opportunity Cost
- Outsourcing
- Pareto Efficiency
- Partial Equilibrium
- Patents
- Paternalism
- Pensions
- Perfect Markets and Market Imperfections
- Piracy of Intellectual Property
- Pluralism
- Political Economy
- Political Legitimacy
- Political Theory
- Pollution
- Positive Economics
- Postmodernism
- Poverty
- Predatory Pricing and Trading
- Preferential Treatment
- Pretexting
- Price Discrimination
- Price-Fixing
- Pricing, Ethical Issues in
- Primary Goods
- Prisoner's Dilemma
- Private Good
- Privatization
- Procedural Justice: Philosophical Perspectives
- Product Liability
- Productive Efficiency
- Profits
- Property and Property Rights
- Public Choice Theory
- Public Domain
- Public Goods
- Public Interest
- Punitive Damages
- Racial Discrimination
- Rand, Ayn
- Rational Choice Theory
- Rationality
- Rawls, John
- Rawls's Theory of Justice
- Reasonable Person Standard
- Reciprocal Altruism
- Reciprocity
- Redistribution of Wealth
- Regressive Tax
- Regulation and Regulatory Agencies
- Religious Discrimination
- Rent Control
- Rents, Economic
- Resource Allocation
- Restraint of Trade
- Revealed Preference
- Reverse Discrimination
- Right to Work
- Rights, Theories of
- Rousseau, Jean-Jacques
- Self-Interest
- Self-Ownership
- Self-Realization
- Sexual Harassment
- Shareholder Model of Corporate Governance
- Shareholder Wealth Maximization
- Sidgwick, Henry
- Slavery
- Social Capital
- Social Contract Theory
- Social Costs
- Social Discount Rate
- Social Efficiency
- Social Engineering
- Social Ethics
- Social Investment Forum
- Socialism
- Spencer, Herbert
- Stakeholder Theory
- Statism
- Subsidies
- Supply-Side Economics
- Surplus, Consumer and Producer
- Sweatshops
- Tariffs and Quotas
- Tawney, Richard Henry
- Tax Ethics
- Tax Havens
- Tax Incentives
- Tax Incidence
- Tort Reform
- Torts
- Trade Balance
- Trademarks
- Tragedy of the Commons
- Transaction Costs
- Transfer Pricing
- Trusts
- Underground Economy
- Unintended Consequences, Law of
- Utilitarianism
- Utility
- Utility, Principle of
- Virtue Ethics
- Von Neumann-Morgenstern Utility Function
- Wage-and-Price Controls
- Wealth
- Wealth Creation
- Welfare Economics
- Well-Being
- Women's Movement
- Legislation and Regulation
- Administrative Procedures Act (APA)
- Affirmative Action
- Age Discrimination
- Agency, Theory of
- Agrarianism
- Air Transportation Stabilization Board (ATSB)
- Airline Deregulation
- Alien Tort Claims Act
- Alternative Dispute Resolution (ADR)
- Americans with Disabilities Act of 1990 (ADA)
- Arms Trade
- Arrow, Kenneth
- Aspen Institute's Business and Society Program
- Association of Trial Lawyers of America (ATLA)
- Association to Advance Collegiate Schools of Business (AACSB International)
- Bait-and-Switch Practices
- Bankruptcy, Ethical Issues in
- Berle-Dodd Debate
- Bilderberg Group
- Blue Sky Laws
- Boycotts
- Bretton Woods Institutions
- Business Law
- Campaign Finance Laws
- Capitalism
- Cartels
- Child Labor
- Child Safety Legislation
- Churning
- Civil Rights
- Coercion
- Collective Punishment and Responsibility
- Common Law
- Communications Decency Act
- Community Reinvestment Act of 1977 (CRA)
- Commutative Theory of Justice
- Confidentiality Agreements
- Consumer Fraud
- Consumer Protection Legislation
- Consumer Rights
- Contracts
- Corporate Average Fuel Economy (CAFE) Standards
- Corporate Democracy Act
- Corporate Governance
- Corporate Rights and Personhood
- Corruption
- Council on Foreign Relations
- Deceptive Advertising
- Deregulation
- Disclosure
- Divestment
- Double Taxation
- Dow Corning
- Due Process
- Dumping
- Economic Incentives
- Economic Recovery Tax Act (ERTA)
- Electronic Surveillance
- Eminent Domain
- Emissions Trading
- Employee Monitoring and Surveillance
- Employee Protection and Workplace Safety Legislation
- Employee Retirement Income Security Act of 1974 (ERISA)
- Employee Stock Ownership Plans (ESOPs)
- Employment Contracts
- Employment Discrimination
- Entitlements
- Environmental Protection Agency (EPA)
- Environmental Protection Legislation and Regulation
- Equal Employment Opportunity
- Equal Opportunity
- Equal Pay Act of 1963
- Ethics in Government Act of 1978
- European Union Directive on Privacy and Electronic Communications
- Exploitation
- Export Trading Company Act of 1982
- Extortion
- Federal Communications Commission (FCC)
- Federal Energy Regulation
- Federal Sentencing Guidelines
- Fiduciary Duty
- Fiduciary Norm
- Flat Tax
- Food and Drug Safety Legislation
- Foreign Corrupt Practices Act of 1977 (FCPA)
- Fraud
- Free Speech in the Workplace
- Freedom and Liberty
- Freedom of Contract
- Freedom of Information Act of 1966 (FOIA)
- Friedman, Milton
- Gay Rights
- Gender Inequality and Discrimination
- Genetic Information in the Workplace
- Hayek, Friedrich A.
- Health Insurance Portability and Accountability Act
- Hewlett-Packard
- Hostile Work Environment
- Human Nature
- Human Rights
- Identity Theft
- Immigration Reform and Control Act of 1986
- Insider Trading
- Institutional Framing
- Intellectual Property
- Internal Revenue Service (IRS)
- Internet and Computing Legislation
- Interstate Commerce Commission (ICC)
- Iron Triangles
- Job Security
- Justice, Compensatory
- Justice, Distributive
- Justice, Retributive
- Justice, Theories of
- Labor Unions
- Legal Ethics
- Legal Rights
- Lemon Laws
- Liability Theory
- Life Settlements
- Litigation, Civil
- Machiavellianism
- Managed Competition
- Manipulation, Financial
- Market for Corporate Control
- Marx, Karl
- Marxism
- Medicaid
- Medicare
- Mergers, Acquisitions, and Takeovers
- Miller-Tydings Act of 1937
- Minimum Wage
- Mixed Economy
- Monopolies, Duopolies, and Oligopolies
- Monopsony
- National Ambient Air Quality Standards (NAAQS)
- National Association of Securities Dealers (NASD)
- National Industrial Recovery Act
- National Labor Relations Board
- National Origin Discrimination
- Nationalization
- Norris-LaGuardia Act of 1932
- North American Free Trade Agreement (NAFTA)
- Nuclear Regulatory Commission
- Occupational Safety and Health Administration (OSHA)
- Omnibus Trade and Competitiveness Act of 1988 (OTCA)
- Paternalism
- Patients' Bill of Rights
- Patriarchy
- Pollution Externalities, Socially Efficient Regulation of
- Pollution Right
- Predatory Pricing and Trading
- Pretexting
- Price Discrimination
- Price-Fixing
- Privatization
- Product Liability
- Property and Property Rights
- Prudent Investor Rule
- Public Company Accounting Oversight Board
- Public Utilities and Their Regulation
- Racial Discrimination
- Rand, Ayn
- Reasonable Person Standard
- Redistribution of Wealth
- Regressive Tax
- Regulation and Regulatory Agencies
- Regulatory Flexibility Act of 1980
- Rehabilitation Act of 1973
- Religious Discrimination
- Rent Control
- Restraint of Trade
- Reverse Discrimination
- Revolving Door
- Right to Work
- Rights, Theories of
- Risk Retention Act of 1981
- Sarbanes-Oxley Act of 2002
- Securities and Exchange Commission (SEC)
- Securities Industry Association
- Self-Regulation
- Sexual Harassment
- Single European Act (SEA)
- Slavery
- Smith, Adam
- Social Discount Rate
- Social Engineering
- Statism
- Subsidies
- Sunset Laws
- Sweatshops
- Tariffs and Quotas
- Tax Havens
- Tax Incentives
- Tax Incidence
- Tax Reform Act of 1986
- Telecommunications Act of 1996
- Tort Reform
- Torts
- Trade Secrets, Corporate Espionage and
- U.S. Department of Justice
- U.S. Food and Drug Administration (FDA)
- Underground Economy
- Unintended Consequences, Law of
- United Nations Environment Programme (UNEP)
- USA PATRIOT Act
- Wage-and-Price Controls
- Warranties
- Welfare Economics
- Whistle-Blowing
- Workplace Privacy
- World Economic Forum
- Management
- Academy of Management
- Accountability
- Advisory Panels and Committees
- Affirmative Action
- Age Discrimination
- Agency, Theory of
- Alternative Dispute Resolution (ADR)
- American Management Association (AMA)
- Benefits, Employee
- Berle-Dodd Debate
- Bluffing and Deception in Negotiations
- Brands
- Business Judgment Rule
- Cato Institute
- Caux Principles
- Chief Compliance/Ethics Officer (CCO)
- Chief Executive Officer (CEO)
- Chief Operating Officer (COO)
- Child Labor
- Clarkson Principles for Business
- Codes of Conduct, Ethical and Professional
- Comparable Worth
- Consumer Rights
- Consumer's Bill of Rights
- Corporate Accountability
- Corporate Citizenship
- Corporate Ethics and Compliance Programs
- Corporate Issues Management
- Corporate Moral Agency
- Corporate Philanthropy
- Corporate Political Advocacy
- Corporate Social Responsibility (CSR) and Corporate Social Performance (CSP)
- Corporate Social Responsiveness
- Crisis Management
- Directors, Corporate
- Diversity in the Workplace
- Downsizing
- Due Diligence
- Employee Monitoring and Surveillance
- Employee Protection and Workplace Safety Legislation
- Employee Rights Movement
- Employment Contracts
- Employment Discrimination
- Entrepreneurship, Ethics of
- Environmental Assessment
- Equal Employment Opportunity
- Equal Opportunity
- Ethical Culture and Climate
- Ethical Role of the Manager
- Ethics & Compliance Officer Association (ECOA)
- Ethics Training Programs
- European Union Directive on Privacy and Electronic Communications
- Exploitation
- Family-Friendly Corporation
- Federal Sentencing Guidelines
- Fiduciary Duty
- Fraud
- Free Speech in the Workplace
- Gay Rights
- Gender Inequality and Discrimination
- Genetic Information in the Workplace
- Glass Ceiling
- Golden Parachutes
- Hostile Work Environment
- Human Capital
- Interest Groups
- Labor Unions
- Leadership
- Management, Ethics of
- Market for Corporate Control
- Mentoring
- Meritocracy
- Minimum Wage
- Minorities
- Minority Shareholders
- Missions and Mission Statements
- Moral Leadership
- Negotiation and Bargaining
- Ombudsperson
- Open-Book Management
- Outsourcing
- Participatory Management
- Paternalism
- Pollution
- Preferential Treatment
- Product Liability
- Profit Maximization, Corporate Social Responsibility as
- Protestant Work Ethic
- Racial Discrimination
- Religious Discrimination
- Reputation Management
- Reverse Discrimination
- Role Model
- Roles and Role Morality
- Satisficing
- Servant Leadership
- Sexual Harassment
- Shareholder Resolutions
- Social Audits
- Stewardship
- Strategic Corporate Social Responsibility
- Strategic Planning
- Strategy and Ethics
- Stress, Job
- Sweatshops
- Total Quality Management (TQM)
- Trade Secrets, Corporate Espionage and
- Transfer Pricing
- Triple Bottom Line
- Underground Economy
- Veblen, Thorstein
- Vice
- Violence in the Workplace
- Virtue and Leadership
- Wage-and-Price Controls
- Whistle-Blowing
- Women in the Workplace
- Work and Family
- Work Ethic
- Working Conditions
- Workplace Privacy
- Marketing
- AARP
- Advertising Ethics
- Advertising, Subliminal
- American Federation of Teachers
- Bait-and-Switch Practices
- Bluffing and Deception in Negotiations
- Brands
- Cause-Related Marketing
- Chamber of Commerce of the United States
- Chief Compliance/Ethics Officer (CCO)
- Children, Marketing to
- Conspicuous Consumption
- Consumer Activism
- Consumer Federation of America
- Consumer Fraud
- Consumer Goods
- Consumer Preferences
- Consumer Product Safety Commission
- Consumer Protection Legislation
- Consumer Rights
- Consumer Sovereignty
- Consumer's Bill of Rights
- Corporate Issues Management
- Corporate Public Affairs
- Crisis Management
- Cross-Cultural Consumer Marketing
- Cultural Imperialism
- Deceptive Advertising
- Deceptive Practices
- Entrepreneurship, Ethics of
- Ethics of Persuasion
- Food and Drug Safety Legislation
- Goodwill
- Green Marketing
- Greenwashing
- Interest Groups
- Lemon Laws
- Marketing, Ethics of
- Media and Violence
- Multinational Marketing
- Persuasive Advertising, Ethics of
- Ponzi Scheme
- Price Discrimination
- Privacy
- Public Relations
- Public Relations Ethics
- Recalls, Voluntary
- Reputation Management
- Signaling
- Strategic Philanthropy
- Trade Associations
- Veblen, Thorstein
- Organizations
- AARP
- Academy of Management
- Advisory Panels and Committees
- AFL-CIO
- Air Transportation Stabilization Board (ATSB)
- American Bar Association
- American Civil Liberties Union (ACLU)
- American Federation of State, County and Municipal Employees
- American Federation of Teachers
- American Institute of Certified Public Accountants (AICPA)
- American Management Association (AMA)
- American Medical Association (AMA)
- Aspen Institute's Business and Society Program
- Association for Computing Machinery (ACM)
- Association of Community Organizations for Reform Now (ACORN)
- Association of Trial Lawyers of America (ATLA)
- Association to Advance Collegiate Schools of Business (AACSB International)
- Better Business Bureau (BBB)
- Bilderberg Group
- Bureau of Land Management
- Bureau of National Affairs
- Bureau of Reclamation
- Business Ethics Research Centers
- Business for Social Responsibility (BSR)
- Business Roundtable
- Canadian Business for Social Responsibility
- Cato Institute
- Caux Principles
- Certified Public Accountants (CPAs)
- CFA Institute
- Chamber of Commerce of the United States
- Coalition for Environmentally Responsible Economies (CERES)
- Commodity Futures Trading Commission
- Communications Workers of America
- Comptroller of the Currency
- Conference Board, The
- Consumer Federation of America
- Consumer Product Safety Commission
- Council of Economic Advisers
- Council on Foreign Relations
- Domini Social Investments
- Environmental Protection Agency (EPA)
- Ethics & Compliance Officer Association (ECOA)
- European Union
- Export-Import Bank
- Fair Labor Association (FLA)
- Federal Communications Commission (FCC)
- Federal Deposit Insurance Corporation (FDIC)
- Federal Energy Regulation
- Federal Reserve System
- Federal Trade Commission (FTC)
- Financial Accounting Standards Board (FASB)
- Government Accountability Office (GAO)
- Health Maintenance Organizations (HMOs)
- Internal Revenue Service (IRS)
- International Labour Organization (ILO)
- International Monetary Fund (IMF)
- International Organization for Standardization (ISO)
- Interstate Commerce Commission (ICC)
- National Association of Securities Dealers (NASD)
- National Federation of Independent Business
- National Highway Traffic Safety Administration (NHTSA)
- National Labor Relations Board
- National Transportation Safety Board (NTSB)
- Natural Resources Defense Council
- Nongovernmental Organizations (NGOs)
- Nuclear Regulatory Commission
- Occupational Safety and Health Administration (OSHA)
- Organisation for Economic Co-operation and Development (OECD)
- Organization of Petroleum Exporting Countries (OPEC)
- Pension Benefit Guaranty Corporation (PBGC)
- People for the Ethical Treatment of Animals (PETA)
- Political Action Committees (PACs)
- Public Company Accounting Oversight Board
- Rural Electrification Administration
- Securities and Exchange Commission (SEC)
- Securities Industry Association
- Security Industry Association
- Small Business Administration (SBA)
- Trade Associations
- Transparency International
- Trilateral Commission
- U.S. Bureau of Economic Analysis
- U.S. Bureau of the Census
- U.S. Department of Justice
- U.S. Food and Drug Administration (FDA)
- United Nations
- United Nations Environment Programme (UNEP)
- United Nations Global Compact
- Worker Rights Consortium (WRC)
- World Bank
- World Economic Forum
- World Health Organization (WHO)
- World Resources Institute (WRI)
- World Trade Organization (WTO)
- World Wildlife Fund
- Loading...
Get a 30 day FREE TRIAL
-
Watch videos from a variety of sources bringing classroom topics to life
-
Read modern, diverse business cases
-
Explore hundreds of books and reference titles
Sage Recommends
We found other relevant content for you on other Sage platforms.
Have you created a personal profile? Login or create a profile so that you can save clips, playlists and searches